Brak prądu, czy realnie jest się czego bać? Czy posiadanie fotowoltaiki zapewnia niezależność energetyczną? Jak przygotować się na blackout?
Z poniższego artykułu dowiesz się w jaki sposób obliczyć zapotrzebowanie na energię elektryczną oraz w jaki sposób dobrać najlepsze dla Twoich potrzeb awaryjne źródło zasilania. Wspomnę, że większość posiadaczy instalacji fotowoltaicznych na wypadek braku prądu czyli blackoutu nie będzie miało zasilania (zagadnienie omówione i wyjaśnione w artykule).
Spis treści:
- Czy realnie na większym obszarze może wystąpić brak prądu?
- Brak prądu, czy jest się czego bać?
- Jak zabezpieczyć swój dom przed blackoutem, czyli długotrwałym brakiem prądu?
- Jak się przygotować na blackout, czyli długotrwały brak prądu?
- Brak prądu – wykonaj listę urządzeń wymagających zasilania
- Brak prądu, czyli jakiej mocy zasilanie rezerwowe będzie potrzebne?
- Jak długo urządzenia mają mieć zasilanie awaryjne w czasie blackoutu czyli długotrwałego braku prądu?
- W jakich godzinach podczas braku prądu będziesz chciał korzystać z poszczególnych urządzeń?
- Brak prądu czyli w jaki sposób ma włączyć się zasilanie rezerwowe?
- Brak prądu czyli w jaki sposób można uruchomić zasilanie rezerwowe?
- SZR, czyli Samoczynne Załączenie Rezerwy na wypadek braku prądu
- Ręczne załączenie zasilania rezerwowego
- Podsumowanie sposobów włączenia zasilania awaryjnego
- Dlaczego podczas zasilania awaryjnego tak ważny jest przebieg „czystej” sinusoidy?
- Długotrwały brak prądu czyli blackout – ile energii będzie potrzebne?
- Jak dobrać agregat lub przetwornicę napięcia?
- Czy instalacja elektryczna musi być specjalnie przygotowana na zasilanie rezerwowe podczas braku prądu?
- Jaki przedłużacz wybrać?
- Agregat prądotwórczy jako rezerwowe źródło zasilania na okres braku prądu
- UPS – rezerwowe źródło zasilania na brak prądu
- Przetwornica napięcia jako alternatywa na brak prądu
- Jak dobrać moc przetwornicy napięcia?
- Która przetwornica napięcia jest lepsza? Zasilana z 12 czy 24 V?
- Jak dobrać przewody do połączenia przetwornicy napięcia z akumulatorem?
- Jak połączyć przetwornicę napięcia z akumulatorem?
- Jak zabezpieczyć akumulator przed zwarciem lub przeciążeniem?
- Jaką moc realnie uzyskam z akumulatora?
- Jaki akumulator należy dobrać do przetwornicy napięcia?
- Czy akumulator samochodowy można wykorzystać do zasilania awaryjnego?
- Czy akumulator może wybuchnąć?
- Brak prądu czyli blackout jak naładować akumulator?
- Fotowoltaika na wypadek braku prądu
- Elektrownia wiatrowa czyli turbiny poziome lub pionowe alternatywą na brak prądu
- Brak prądu – podsumowanie przygotowań na wypadek blackoutu
- W jaki sposób zabezpieczyć instalacje zasilania rezerwowego?
- Czy posiadanie zasilania rezerwowego należy zgłaszać do ubezpieczyciela?
Napisałem poniższy poradnik ponieważ od czytelników i znajomych dostaję coraz więcej zapytań związanych z awaryjnym zasilaniem mieszkań i domków w przypadku braku prądu. Jak się zabezpieczyć i jakie są możliwości awaryjnego zasilania? Ponieważ w tym temacie panuje dość duże zamieszanie, jest wiele niedomówień i półprawd więc krótko opiszę zagrożenie oraz omówię możliwe rozwiązania (rezerwowe źródła prądu).
Czy realnie na większym obszarze może wystąpić brak prądu?
Zanim odpowiem na to pytanie, zacznę od zebrania i podsumowania kilku faktów:
- elektrownie państwowe (w większości węglowe) się starzeją,
- sieci przesyłowe są przestarzałe a w wielu częściach wymagają gruntownych remontów (wręcz wymiany lecz z różnych względów są „łatane” i naprawiane),
- brak poważnych i dużych inwestycji w nowe źródła zasilania (nowe elektrownie),
- fotowoltaika on-grid (zdecydowana większość istniejących instalacji) oparta o rozwiązania prosumenckie (magazynowanie wytworzonej energii w sieci energetycznej) ze względów bezpieczeństwa wyłącza się w przypadku braku prądu w sieci energetycznej,
- w domach i mieszkaniach następuje ciągły wzrost zapotrzebowania na energię elektryczną np. pompy ciepła, klimatyzacja, elektronika (RTV, AGD, komputery, samochody elektryczne).
- Zwiększająca się ilość mocy biernej (indukcyjna i pojemnościowa) przeciąża sieci przesyłowe. W gospodarstwach domowych nikt nie przejmuje się mocą bierną, natomiast jej nadmiar jest szkodliwy dla szeroko pojętego sytemu przesyłu i przetwarzania energii elektrycznej. Jako konsumenci płacimy tylko za moc czynna, natomiast „wszędobylska” elektronika (często kiepskiej jakości) powoduje wytworzenie znacznych ilości mocy biernej, która w wielkim uproszczeniu przyczynia się do „przytykania” wydajności istniejących linii przesyłowych dostarczających prąd do naszych domów.
- Odnawialne źródła energii (OZE), które są w stanie pracować niezależnie do elektrowni tradycyjnych (w przypadku awarii są w stanie zasilać jakiś obszar miasta, gminy lub województwa) są realnie w niewielkiej ilości, co powoduje, że w przypadku globalnego braku prądu na dużym obszarze w większości rejonów kraju nie ma co liczyć na prąd z OZE.
- W ostatnich latach mocno wzrosło uzależnienie społeczeństwa od prądu (wentylatory i podajniki w kotłach CO, rekuperatory, pompy ciepła, telefony, komputery, elektrycznie sterowane bramy, rolety, itd.). Obecnie nawet chleba w sklepie się nie kupi jeśli występuje brak prądu (w większości nie działają kasy fiskalne).
Podsumowując, możliwość wystąpienia większej lokalnej awarii sieci zasilającej polegającej na braku prądu czyli blackoutu oceniam jako realne.
Mieszkam w mieście (około 37 000 mieszkańców) blisko Wrocławia i na podstawie rozmów z kolegami pracującymi w „rejonach energetycznych” zakładam, że większość awarii prądu powinna być usunięta do 24 h (jedna doba), w niektórych przypadkach czas ten może wzrosnąć do 72 h (trzy doby). W mojej miejscowości możliwość wystąpienia awarii, których usunięcie potrwa dłużej niż trzy dni oceniam jako bardzo niskie, jednakże w innych rejonach kraju (szczególnie wioski w okolicy Mazur lub rejonach górskich) oczekiwanie na przywrócenie zasilania mogą być dłuższe a duże awarie zasilania mogą być usuwane nawet do 5 dni (120 h).
Brak prądu, czy jest się czego bać?
Na to pytanie nie ma jednoznacznej odpowiedzi. Każda sytuacja jest inna i każdy przypadek należy rozpatrywać indywidualnie. Według mnie nie ma co ulegać „panice” podkręcanej przez media, producentów oraz sprzedawców oferujących różne rezerwowe źródła zasilania. Temat blackoutu jest teraz „modny” i wiele osób stara się na tym temacie zarobić. W mojej ocenie każdy sam powinien przeprowadzić prostą analizę skutków braku prądu. W poniższym artykule na przykładach pokażę jak wykonać taką analizę i jeśli okaże się potrzebne to w jaki sposób dobrać najlepsze dla Ciebie źródło zasilania.
Zacząć należy od rozważenia co się stanie jeśli wystąpi długotrwały brak prądu? W rozważaniach należy przyjąć dwa ekstremalne, ale realne scenariusze w których brak prądu wystąpi w:
- lecie – okres letnich upałów,
- zimie – okres mrozów.
Analizując sytuacje należy zwrócić szczególną uwagę na dwa kluczowe przypadki:
- czy w domu lub mieszkaniu są elektroniczne urządzenia medyczne do których w warunkach domowych są przez dłuższy czas podłączeni chorzy domownicy?
- Zamarzniecie i rozsadzenie rur. W okresie zimowym największe zagrożenie polega na możliwości zamarznięcia i popękania rur (CO, kanalizacyjnych i wodnych).
Brak prądu w obu przytoczonych powyżej przypadkach może mieć poważne konsekwencje związane z zagrożeniem ludzkiego zdrowia lub życia, albo może wiązać się z dużymi wydatkami związanymi z rozsadzonymi przez lód rurami. Należy pamiętać, ze zamarznięta i rozerwana rura nie jest największym zmartwieniem. Wraz z wzrostem temperatury lód stopnieje a przez pękniecie woda zacznie zalewać dom lub mieszkanie. W większości przypadków pęknięcie zostaje zauważone gdy szkody spowodowane zalaniem są już dość znaczne. Wówczas musimy odciąć dopływ wody, usunąć nieszczelność i zlikwidować skutki zalania (często wymiana podłóg).
Uwzględniając obie sytuacje realnie jest się czego bać. W pozostałych przypadkach (omówionych w dalszej części artykułu) brak prądu ma wpływ na znaczne pogorszenie naszego samopoczucia i standardu życia, ale jeśli nie zagraża życiu i zdrowiu należy do tematu podejść ekonomicznie.
Jak zabezpieczyć swój dom przed blackoutem, czyli długotrwałym brakiem prądu?
Nie ma jednego uniwersalnego i najlepszego rozwiązania, każde rezerwowe źródło zasilania ma wady i zalety. W praktyce nie ma jak zrobić listę wad i zalet, bo to co dla jednej osoby jest wadą, dla innej może być zaletą. W poniższym opracowaniu omówię większość dostępnych rozwiązań lecz niezależnie od wybranego rozwiązania zabezpieczenie domu lub mieszkania przed brakiem prądu należy zacząć od określenia swoich potrzeb, czyli ustalenia, które urządzenia i przez jaki okres czasu mają mieć zapewnione awaryjne zasilanie?
Po co wybierać poszczególne urządzenia? Czy nie lepiej zasilić cały dom?
Owszem można wykonać awaryjne zasilanie całego domu w taki sposób, aby wszystkie urządzenia działały normalnie, tylko że takie rozwiązanie nie będzie miało ekonomicznego uzasadnienia (będzie kosztowne), ale w dalszej części artykułu takie rozwiązane zostanie również omówione.
Moim zdaniem zasilanie awaryjne warto zapewnić dla wybranych urządzeń np.: lodówka, zamrażarka, podstawowe oświetlenie np. dwie lub trzy lampki nocne, w okresie zimowym dla elektroniki oraz silników kotła CO wraz z pompkami cyrkulacyjnymi. Można rozważyć zasilanie domofonu lub wideodomofonu oraz systemu monitoringu. W przypadku gdy w domu lub mieszkaniu są zewnętrzne rolety sterowane elektrycznie i brama garażowa typu roleta, wówczas warto zapewnić sobie możliwość jednorazowego otworzenia rolet a w przypadku bramy roletowej po wyjechaniu samochodu również jej zamknięcie (okres braku prądu samochód może spędzić na dworze).
Dlaczego na wypadek braku prądu akurat te urządzenia mają mieć zasilanie?
Rozmawiając o awaryjnym zasilaniu należy szczególnie rozważyć kilka niżej omówionych zagadnień:
Zasilanie lodówki i zamrażarki pozwoli na bezpieczne przechowanie zapasów żywności (na koniec artykułu wrócę do tego zagadnienia). Dwie lub trzy lampki nocne (biurkowe lub inne dowolne LED-owe źródła światła) zapewnią oświetlenie w ciągach komunikacyjnych, toalecie, kuchni lub pokoju.
W przypadku gdy dom ogrzewany jest z kotła CO, lub innego lokalnego źródła ciepła warto zadbać, aby w domu mieć możliwość utrzymania temperatury na minimalnym akceptowalnym poziomie (dla każdego będzie to inna indywidualna wartość temperatury). W przypadku instalacji CO i kotłów gazowych, olejowych lub na paliwa stałe np. ekogroszek, pelet lub do tradycyjnego palenia węglem (w tym również kominki z płaszczem wodnym) należy zadbać by ciepło było po budynku rozprowadzane za pomocą pompek cyrkulacyjnych, a kocioł CO miał zapewnione zasilanie dla elektroniki. Kotły na paliwa stałe dodatkowo wymagają zasilania silnika napędzającego podajnik i oraz silnika wentylatora.
Domofon lub wideodomofon nie zużywają dużo prądu natomiast zasilenie tych urządzeń pozwoli nam utrzymać kontakt z otoczeniem np. z sąsiadem który próbuje się z nami skontaktować i stoi przed zamkniętą furtką (do drzwi nie zapuka, telefony nie działają a okna dobrej jakości skutecznie tłumią jego wołanie).
W przypadku elektrycznie sterowanych rolet nie ma kłopotu jeśli długotrwały brak prądu wystąpi w momencie gdy wszystkie rolety są otwarte. Gorzej jak prądu zabraknie gdy wszystkie rolety są zamknięte. Wówczas pomimo, że może być piękny słoneczny dzień w całym domu jest ciemnica – można powiedzieć środek nocy 😉 Taka sytuacja u wielu aktywnych zawodowo osób może budzić uśmiech, ale jeśli w domu aktualnie są osoby starsze to takie przymusowe zaciemnienie połączone z brakiem łączności telefonicznej z najbliższymi może doprowadzić do paniki, która może mieć tragiczny finał (serce może nie wytrzymać tak dużego stresu). Należy pamiętać, że elektrycznie sterowane rolety okienne bardzo rzadko mają możliwość ręcznego otwarcia, wiec w takim przypadku warto zapewnić sobie możliwość elektrycznego awaryjnego otworzenia rolet do czasu normalnego powrotu zasilania.
Roletowe bramy garażowe w domach jednorodzinnych nie są zbyt popularne, ale osoby które mają taką bramę, wiedzą, że awaryjne otwieranie za pomocą korby jest ostatecznością (w przypadku dużych bram to około 30 minut kręcenia korbą – wiem co piszę sam mam bramę roletową 4,7 x 3,4 m). W przypadku gdy brak prądu zastał nasz samochód wewnątrz garażu warto mieć możliwość elektrycznego otwarcia bramy w celu wyjechania samochodem a następnie powtórnego jej zamknięcia. Jeśli auto jest już wyprowadzone to brama roletowa może być już nie używana do czasu powrotu zasilania. Należy również uwzględnić scenariusz w którym brak prądu zaskoczył nas w trakcie zamykania lub otwierania bramy (pozostawienie bez opieki częściowo otwartego garażu u większości osób nie wchodzi w grę).
Moim zdaniem awaryjne zasilanie systemu monitoringu ma pewne racjonalne uzasadnienie związane z bezpieczeństwem. Jeśli na danym obszarze wystąpił blackout to zauważalna staje się większa aktywność „amatorów cudzej własności”. Osoby te wiedzą, że większość systemów alarmowych w domkach lub mieszkaniach jest już wyłączona (w większości przypadków w stanie czuwania alarm przetrwa maksymalnie trzy dni). Systemy monitoringu w domach jednorodzinnych najczęściej nie mają żadnego podtrzymania więc nawet jeśli system CCTV jest podłączony do domowego UPS-a to po kilku godzinach kamery przestają działać.
Skoro omówiłem już mało oczywiste a ważne moim zdaniem urządzenia wymagające zasilenia awaryjnego to przejdę teraz do omówienia urządzeń które wiele osób w pierwszej chili podaje jako krytyczne i bezwarunkowo wymagające zasilania, a w mojej ocenie ich awaryjne zasilanie należy dobrze przemyśleć.
Jakich urządzeń nie warto zasilać w przypadku długotrwałego braku prądu czyli blackoutu?
Ponieważ omawiam sytuację w której na znacznym obszarze np. części powiatu jest długotrwały brak prądu, czyli blackout, więc w mojej opinii nie ma ekonomicznego ani praktycznego uzasadnienia do zasilania urządzeń, które w naszym domu odpowiedzialne są za internet lub sieć Wi-Fi np. routery lub acces pointy.
Dlaczego?
Ponieważ stacje bazowe telefonii komórkowej i cała teletechniczna infrastruktura operatorów również w większości nie ma zasilania, a jeśli nawet jest jakaś „łączność ze światem” to sygnał ten najczęściej jest bardzo słabej jakości. Część osób nie wyobraża sobie życia bez dostępu do usług mobilnych i internetu, ale mogą być większe powody do zmartwień. Przy przedłużającym się braku prądu np. duża awaria i kilkudniowe wyłączenie całej elektrowni, należy spodziewać się problemów z dostępem do bieżącej wody (może zabraknąć w kranie wody) i problemów z dostępnością gazu.
Przecież zarówno w wodociągach jak i w gazowni są specjalne pompy, które zapewniają właściwe ciśnienie gazu i wody w naszych domach. Osoby korzystające z gazowych kotów (zasilanych z państwowych sieci gazowniczych) do ogrzewania swoich domów powinny się zastanowić czym w takiej sytuacji ogrzeją dom? Co prawda wodociągi i gazownia na wypadek braku prądu dysponują pewnymi zabezpieczeniami (w tym agregatami) do zasilenia elektroniki sterującej oraz pomp, ale należy pamiętać, że agregaty zużywają dość dużo paliwa np. ropy której nie ma skąd uzupełnić (stacje paliw również nie mają zasilania). W praktyce (co pokazały już mniejsze lokalne braki prądu) stacje paliw w znacznej większości są bezradne i nie ma ją żadnych rezerwowych źródeł zasilania.
Nie ma się co dziwić. Stacja paliw to „firma”, która właścicielom ma przynosić zyski. Do tej pory braki prądu były krótkie i zdarzały się dość rzadko więc instalacja systemu zasilania awaryjnego jest dla większości właścicieli stacji paliw zbędnym kosztem.
Jeśli blackout wystąpi w okresie zimowym to może być bardzo uciążliwy dla miejskich ciepłowni, które również potrzebują zasilania energią elektryczną dla pomp, wentylatorów i systemów automatyki, ale nie będę omawiał jakie konsekwencje ma wyłączenie miejskich ciepłowni w okresie grzewczym.
Przytoczony powyżej opis jest oczywiście mocnym uproszczeniem, co nie zmienia faktu, że nasza cywilizacja jest uzależniona od energii elektrycznej. Niestety globalny długotrwały brak prądu czyli blackout może być bardzo uciążliwy i mieć skutki o których niewiele się mówi, bo większość ludzi oraz rządzący nie lubią analizować rzeczy trudnych. Analiza trudnych tematów (np. scenariuszy braku prądu) prowadzi do pokazania słabych punktów co wraz z powstałą w ten sposób świadomością (problemy i wyzwania zostają wypowiedziane i nazwane) powoduje konieczność zastanowienia się jakie środki zapobiegawcze można zastosować, co z kolei doprowadza do planowania, wyceniania i zastanawiania się skąd na to wziąć pieniądze? Przecież wszystko działa więc po co cokolwiek zmieniać? Ludzie w większości nie lubią być uświadamiani (burzony jest ich prosty i łatwy „świat”). Ludzie i rządzący wolą wydać ulotkę informacyjną lub po czasie dać odpowiedź w stylu „kto mógł to przewidzieć” lub „kto mógł wiedzieć”.
Wracając do listy urządzeń, których ze względów ekonomicznych nie warto awaryjnie zasilać w czasie długotrwałego braku prądu to uzupełnić ją należy o: płytę indukcyjną, pralkę, zmywarkę, elektryczny piekarnik, mikrofalówkę, tostery, elektryczne czajniki, podgrzewacze wody lub elektryczne grzejniki w tym również popularne „farelki” itp. W tym trudnym okresie blackoutu lepiej podgrzewać i gotować posiłki za pomocą wcześniej przygotowanej butli gazowej, która jest łatwa do transportowania i przechowywania a przy okazji jest bardzo wydajna.
Rozmawiając o butli gazowej, warto zastanowić się również nad możliwością jej wykorzystania do awaryjnego ogrzania pomieszczeń (zawczasu można poszukać i zakupić odpowiednie ogrzewacze – UWAGA – należy zapoznać się z instrukcją obsługi ponieważ przy niewłaściwej eksploatacji może powstawać tlenek węgla czyli czad). Mając butle gazową można rozważyć zakup grilla opalanego gazem (może to być ciekawa alternatywa do grilli węglowych).
W skrócie omówiłem urządzenia, których awaryjne zasilanie warto dobrze przemyśleć, ale w jaki sposób osoba która nie zna się na elektryce powinna przygotować się do awaryjnego zasilania na wypadek długotrwałego braku prądu?
Jak się przygotować na blackout, czyli długotrwały brak prądu?
W artykule tym poruszę głównie kwestie związane z prądem, natomiast nie wolno zapominać o kwestiach związanych z przygotowaniem podstawowego zapasu żywności, wody lub niezbędnych lekarstw. Czy na wypadek blackoutu masz w domu zapas gotówki „na czarną godzinę”? Przecież nie zapłacisz kartą, BLIK-em lub zbliżeniowo a bankomaty i banki również nie będą miały zasilania?
Jak już wspominałem w kwestii przygotowania posiłków warto mieć nabitą butle gazową z sprawnym palnikiem a do ogrzania pomieszczeń element grzewczy (znaleźć go można w Google pod hasłami: grzejnik na butlę gazową). Butla gazowa nie jest zapewne najwygodniejszym rozwiązaniem, ale na pewno jest to rozwiązanie uzasadnione ekonomiczne. Pamiętać należy, aby wraz z butlą gazową mieć przygotowany klucz lub inne narzędzia które będą potrzebne do podłączenia i uruchomienia instalacji (jeśli butla wraz z osprzętem jest rzadko używana mogą się przydać zapasowe uszczelki). Należy mieć sprawną latarkę (z zapasem baterii lub naładowanym akumulatorkiem), przyda się również zapas baterii do urządzeń typu radio. Pamiętaj, że baterie mają swój okres przydatności do użycia. W codziennym życiu warto brać baterie z domowego zapasu i jednocześnie kupować nowe uzupełniając „żelazny zapas”. Dobrze aby latarka pobierała mało energii elektrycznej i dawała dużo światła, więc należy kupić porządną latarkę odporną na upadki (przynajmniej z wysokości stołu) wykonaną w technologii LED.
W praktyce przydać się mogą dwa rodzaje latarek różniące się konstrukcją i mające inne zastosowanie.
Latarki i baterie to bardzo ważny początek zabezpieczenia się na wypadek blackoutu, przecież gdy wieczorem zabraknie prądu musisz mieć odrobinę światła aby uruchomić rezerwowe źródło zasilania. Jeśli rzetelnie chcesz się przygotować się do rezerwowego zasilania na wypadek braku prądu powinieneś zacząć od ustalenia ile energii elektrycznej realnie będą potrzebować uruchomione przez Ciebie urządzenia? W tym celu należy zacząć od sporządzenia listy i spisania wszystkich urządzeń, które na wypadek braku prądu powinny mieć zasilanie.
Brak prądu – wykonaj listę urządzeń wymagających zasilania
Na tym etapie dobrze jest wykonać listę wszystkich urządzeń wymagających rezerwowego zasilania. Z własnej praktyki mogę podpowiedzieć, że w tworzeniu listy powinni brać udział wszyscy domownicy (ktoś może podpowiedzieć urządzenie które jest ważne, a o którym zapomniałeś bo rzadko je używasz). W razie braku prądu nerwów i emocji będzie wystarczająco dużo. Nie ma sensu dokładać kolejnych, więc wspólnie stworzona lista urządzeń które w razie wystąpienia blackoutu, czyli długotrwałego braku prądu mają mieć zasilanie pomoże uniknąć niepotrzebnej awantury i wytykania samolubstwa (dla każdego inne urządzenia są ważne i inne powinny mieć zagwarantowane zasilanie).
UWAGA! Nie zapomnij o żadnym urządzeniu
Dobierając zasilanie awaryjne wiele osób chce mieć zagwarantowane zasilanie komputera stacjonarnego (liczą go jako jedno urządzenie) natomiast w praktyce stacjonarny komputer składa się z kilku niezależnych urządzeń np.: komputer (czyli „skrzynka”, która stoi pod biurkiem), monitor lub monitory, głośniki, inne urządzenia które są podłączone do komputera a mają osobne zasilanie za pomocą zasilacza lub przewodu z wtyczką).
Łatwo się pisze, ale z doświadczenia wiem, że dla wielu osób stworzenie takiej listy wcale nie jest proste. Na liście dokonuje się wielu zmian, dopisuje się a następnie skreśla różne urządzenia. W związku z tym w dalszej części artykułu zamieszczę „ściągę”. Będziesz mógł pobrać plik Excela w którym wystarczy uzupełniać wskazane pola, ale przedtem musimy omówić jeszcze kilka zagadnień które będą kluczowe dla prawidłowego wykonania listy.
W kolejnym kroku należy sprawdzić ile „prądu” będzie potrzebne z rezerwowego źródła zasilania?
Brak prądu, czyli jakiej mocy zasilanie rezerwowe będzie potrzebne?
Listę urządzeń wymagających zasilania można zrobić siedząc wygodnie w fotelu, ale teraz należy ustalić ile energii elektrycznej zużywają pojedyncze urządzenia znajdujące się na Twojej liście. To bardzo ważny punkt bo błędne dane będą miały poważne konsekwencje. Oszacowanie zbyt niskich wartości spowoduje, że dla jakiegoś urządzenia zabraknie prądu lub, że prąd skończy się o wiele szybciej niż wyliczyłeś. Przyjęte zbyt wysokie wartości spowodują, że rezerwowe źródło zasilania będzie droższe w stosunku do Twojego realnego zapotrzebowania.
W celu rzetelnego przygotowania się na awaryjne zasilanie w czasie braku prądu, należy podejść do każdego urządzenia i z tabliczki znamionowej spisać dwa parametry:
- moc w W (lub w kW),
- rodzaj zasilania (230 V czyli jednofazowe, lub 400 V czyli trójfazowe).
Jeśli nie ma podanej mocy to spisz prąd jaki pobiera dane urządzenie (najczęściej podawany jest w A lub mA), to na tej podstawie będziesz mógł wyliczyć moc.
Tabliczki znamionowe mogą występować w różnych formach i odczytanie ich osobie która nie jest elektrykiem może sprawić trudność wiec dla ułatwienia zamieszczam link do pobrania kalkulatora w formie pliku Excela. Kalkulator był pisany na potrzeby obliczania zużycia prądu, wiec może przyda Ci się również do tego zadania, ale jeśli chcesz tylko zerknąć jak obliczyć zużycie energii elektrycznej przez poszczególne urządzenia to po uruchomieniu kalkulatora pliku przejdź od razu do ostatniej zakładki w dolnej części okna (patrz poniższy rysunek).
W niektórych przypadkach urządzenie może mieć zniszczoną tabliczkę znamionową, lub może być ona umieszczona w ciężko dostępnym miejscu. W takim wypadku skorzystaj z internetu 🙂 Wyszukaj swoje urządzenie (najlepiej na stronie producenta) i sprawdź w danych technicznych jaką moc znamionową pobiera dany sprzęt (dane takie są dostępne również dla starszych już nie produkowanych urządzeń)?
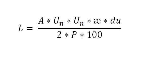
Co zrobić jeśli na tabliczce znamionowej nie ma informacji ile watów (W) lub kilowatów (kW) pobiera dane urządzenie?
W takim przypadku na tabliczce znamionowej producent powinien podać napięcie jakim należy zasilać dane urządzenie oraz maksymalny prąd jaki to urządzenie pobiera (dla uproszczenia przyjmujemy cos fi =1) dzięki czemu możemy skorzystać z wzoru:
P=U*I
P – moc w watach (W)
U – napięcie w woltach (V)
I – prąd w amperach (A)
Na tym nie koniec, bo jeśli rezerwowe źródło zasilania ma spełniać Twoje oczekiwania to musimy ustalić kilka szczegółów, które będą kluczowe dla Twojego zadowolenia w przypadku braku prądu.
Jak długo urządzenia mają mieć zasilanie awaryjne w czasie blackoutu czyli długotrwałego braku prądu?
Przyjmijmy założenie, że brak prądu występuje przez klika dni. Ile minut w czasie doby będziesz chciał korzystać z poszczególnych urządzeń?
Przemyślana odpowiedź na to pytanie pozwoli ustalić realne zapotrzebowanie na „prąd” urządzeń, które wytypowałeś do zasilania rezerwowego. Dla ułatwienia wróć do sporządzonej listy i przy każdym urządzeniu wpisz łączny przewidywany czas korzystania z danego urządzenia (lista uwzgledniająca ten parametr do pobrania w dalszej części artykułu).
Ponieważ wiem, że wpisanie niektórych wartości może być kłopotliwe więc zachęcam do skorzystania z wyżej omawianego kalkulatora, który pomoże w dokonaniu niektórych obliczeń (przy okazji możesz sprawdzić, ile kosztuje Cię miesięcznie lub rocznie używanie wybranego urządzenia np. czajnika lub odkurzacza). Na tym nie koniec, bo jeśli chcesz dobrać zasilanie rezerwowe, które najlepiej będzie nadawać się dla Ciebie, to trzeba zastanowić się w jakich okresach doby (w jakich godzinach) będziesz miał zapotrzebowanie na energię elektryczną?
W jakich godzinach podczas braku prądu będziesz chciał korzystać z poszczególnych urządzeń?
Wbrew pozorom to bardzo ważna informacja, ponieważ nie każde rezerwowe źródło zasilania możemy wykorzystywać przez całą dobę. Załóżmy, że wykorzystujesz prąd wytwarzany przez instalacje fotowoltaiczną. Jeśli wszystko zostało dobrze dobrane to w słoneczny dzień możesz zużywać energię, którą w danej chwili produkujesz, ale co gdy energii elektrycznej będziesz potrzebował już po zachodzie słońca? Na tą chwilę nie będę rozwijał tego zagadnienia ponieważ do tego tematu wrócę w dalszej części opracowania.
Poniżej możesz pobrać omawianą wcześniej listę. Na tym etapie dobrze zrobić przerwę w czytaniu i spróbować realnie oszacować Twoje zapotrzebowanie. Dziki temu w dalszej części artykułu będziesz mógł omawiane zagadnienia odnosić do Twoich potrzeb.
Kalkulator zapotrzebowania na prąd. Pobierz >>
W kolejnym kroku powinieneś zastanowić się w jaki sposób na wypadek braku prądu ma włączyć się rezerwowe źródło zasilania?
Brak prądu czyli w jaki sposób ma włączyć się zasilanie rezerwowe?
Brak prądu może nastąpić w najmniej oczekiwanym czasie. Czy osoby, które aktualnie będą w domu poradzą sobie z podłączeniem awaryjnego źródła zasilania? Każdy z nas ma inną sytuację. Niektórzy mieszkają sami, inni wraz z starszymi osobami. Jedni pracują blisko miejsca zamieszkania a inni często wyjeżdżają w długie nieraz zagraniczne delegacje. Blackout może wystąpić w najmniej oczekiwanym momencie a jeśli korzystasz z transportu publicznego brak prądu może utrudnić lub uniemożliwić szybki powrót do domu. Pozostaje więc pytanie, czy osoby, które w tym czasie będą w domu lub mieszkaniu poradzą sobie z uruchomieniem rezerwowego zasilania? Przypominam, nie licz na możliwość udzielania instrukcji przez telefon, mówimy o braku prądu na dużym obszarze więc telefony po prostu mogą nie działać.
Brak prądu czyli w jaki sposób można uruchomić zasilanie rezerwowe?
Zasilanie rezerwowe można włączyć na kilka sposobów:
- automatycznie poprzez układ SZR
- ręcznie:
- łatwo i szybko poprzez włączenie przygotowanego zasilania rezerwowego,
- ręcznie poprzez odszukanie, skompletowanie i uruchomienie zasilania.
Mimo, że wymienione sposoby wydają się oczywiste warto je szczegółowo omówić. Zacznę od automatycznego przełączenia z wykorzystaniem SZR.
SZR, czyli Samoczynne Załączenie Rezerwy na wypadek braku prądu
Wykorzystując automatykę SZR możesz nawet nie wiedzieć, że wystąpił brak prądu. Dzieje się tak, jeśli rezerwowe źródło zasilania jest wspomagane przez układ akumulatorów z systemem UPS. Wówczas jeśli wystąpi zanik zasilania dobrze dobrany UPS podtrzymuje dostawy energii do czasu, aż automatycznie uruchomi się rezerwowe źródło zasilania np. agregat który zasilając dom doładowuje akumulatory UPS-a. Po powrocie zasilania sieciowego dzięki UPS-owi następuje płynne przełączenie z agregatu na sieć energetyczną.
Jeśli w układzie wykorzystasz automatykę SZR, ale nie użyjesz UPS-a, wówczas zauważysz chwilowy brak prądu jaki wystąpi od momentu zaniku zasilania do momentu automatycznego uruchomienia agregatu i przełączenie zasilania oraz powtórnie w momencie powrotu zasilania przy przełączeniu na sieć energetyczną (czas uruchomienia i przełączenia zasilania wacha się w zależności od zastosowanego rozwiązania i może wynieść do kilku minut). Drugim sposobem jest wykonanie ręcznego przełączenia i uruchomienia zasilania rezerwowego.
Ręczne załączenie zasilania rezerwowego
Choć w chwili czytania tego artykułu może wydawać się trudnym do uwierzenia, to pierwsza omawiana poniżej opcja jest bardzo trudna do wykonania. Polega ona na przygotowaniu i utrzymywaniu w gotowości całego systemu zasilania rezerwowego. W przypadku braku prądu wystarczy ręcznie wykonać wcześniej przygotowany zestaw czynności np. przełączyć źródło zasilania, włączyć wtyczkę lub ręcznie uruchomić agregat. Trudność wykonania tej opcji leży w naturze większości osób. Trudno dbać i okresowo serwisować coś co jest bardzo rzadko używane. Używane jest raz na kilka lat, a serwis (sprawdzenie sprawności całej instalacji oraz sprawdzenie kompletności elementów np. kluczy i przedłużaczy) należy regularnie wykonywać co kilka miesięcy (nigdy nie wiesz kiedy wystąpi brak prądu).
Druga opcja ma zastosowanie w przypadku wystąpienia braku prądu. Polega na nerwowym bieganiu po zakamarkach domu, garażu i zbieraniu wszystkich elementów niezbędnych do wykonania rezerwowego zasilania domu lub mieszkania. Bo przecież wszystkie te elementy gdzieś są, tylko gdzie? A może ktoś ze znajomych coś pożyczał, przecież tyle czasu nie było potrzebne…
Praktyka pokazuje, że w większości przypadków te dwa wspomniane standardy z biegiem czasu przekształcają się w jeden standard (drugi z omawianych), czyli nerwy i szukanie gdzie to było położone…
Nie dziw się mojemu podejściu do tematu braku prądu i zasilania rezerwowego. Nigdzie nie obiecywałem, że będzie miło a zdecydowałem się na napisanie tego artykułu ponieważ mam dość wyjaśniania niedomówień występujących w większości publikacji przeznaczonych konsumentów czyli osób które nie zajmują się profesjonalnym projektowaniem lub wykonywaniem zasilania rezerwowego).
Podsumowanie sposobów włączenia zasilania awaryjnego
Należy wyraźnie powiedzieć, że w przypadku braku prądu automatyczne włączenie zasilania rezerwowego (SZR) jest wygodne, ale wiąże się z kilkoma zagadnieniami:
- wymaga zastosowania odpowiedniej automatyki SZR,
- wymusza użycie rezerwowego źródła zasilania, które ma możliwość automatycznego uruchomienia np. agregat prądotwórczy z autostartem,
- jeśli przełączenie z sieci zasilającej na np. agregat prądotwórczy ma następować w sposób niezauważony dla użytkownika, to wymagane jest zastosowanie odpowiednio dobranych UPS-ów, które podtrzymają zasilanie przez okres potrzebny na uruchomienie rezerwowego źródła zasilania w tym wypadku agregatu.
- Instalacja elektryczna musi być odpowiednio przygotowana do automatyki SZR,
- w wielu przypadkach takie rozwiązanie jest droższe od ręcznego podłączenia zasilania rezerwowego.
- Cały zautomatyzowany system zasilania rezerwowego wymaga konserwacji, w tym uzupełniania paliwa (nie jest to system bezobsługowy).
Należy pamiętać, że nie ma uniwersalnych układów SZR. Automatykę SZR dobiera się do konkretnych indywidualnych potrzeb np. modelu agregatu prądotwórczego. W skład kompletnej automatyki wchodzą elektroniczne sterowniki SZR, styczniki odpowiadające za operacje łączeniowe oraz elementy zabezpieczeń. Samodzielne konstruowanie układu SZR przez osoby, które nie mają dostatecznie dużej wiedzy jest bardzo niebezpieczne, ponieważ może doprowadzić do groźnego w skutkach zwarcia lub przedostania się napięcia z rezerwowego źródła zasilania na linię energetyczną co w szczególnych sytuacjach np. celowe wyłączenie zasilania na okres naprawy sieci energetycznej może doprowadzić nawet do śmierci osoby dokonującej naprawy. Z tego powodu korzystanie z rezerwowych źródeł zasilania wymaga zgłoszenia do Twojego dostawcy energii elektrycznej.
Ponieważ zbliżamy się do wyboru rezerwowego źródła zasilania pozostało do ustalenia, czy na wypadek braku prądu będziesz do rezerwowego zasilania podłączał jakieś urządzenia z silnikami lub transformatorami wymagającymi napięcia 230 lub 400 V AC?
Dlaczego podczas zasilania awaryjnego tak ważny jest przebieg „czystej” sinusoidy?
Ze względu na zasadę działania silniki elektryczne i transformatory zasilane prądem przemiennym (AC) wymagają, aby przebieg napięcia miał kształt sinusoidy. Temat ten jest ważny dla dalszego zrozumienia tego artykułu i dlatego proszę, abyś przed dalszym czytaniem zapoznał się z artykułem: UPS do domku, czyli awaryjne zasilanie rolet i pieca CO
Po zapoznaniu się z powyższym artykułem wiesz, dlaczego dopytuję o urządzenia z silnikami prądu przemiennego. Zastanów się i przejrzyj urządzenia, które na omawianej już liście wytypowałeś do rezerwowego zasilania. Czy wśród nich są takie, które w swojej konstrukcji zawierają silniki zasilane z 230 lub 400 V AC?
Szukamy wentylatorów, pomp, podajników, siłowników itp. Łatwo napisać, ale skoro elektryka nie jest Twoim centrum zainteresowania to warto przytoczyć kilka przykładów, które powinny ułatwić poszukiwania silników. Silniki 230 V AC najczęściej znajdują się w piekarnikach (termoobieg), lodówkach i chłodziarkach (sprężarki), są to pompki cyrkulacyjne w instalacjach CO. Silniki występują w kotłach CO (wentylatory i podajniki), są w wentylatorach łazienkowych, okapach kuchennych, rekuperatorach, klimatyzatorach, siłownikach i napędach bram, roletach, w sprzęcie AGD (miksery, blendery, młynki, suszarki do włosów itp.). Silniki o których mowa występują również w odkurzaczach, pralkach, zmywarkach, wiertarkach, szlifierkach, kosiarkach i innych elektronarzędziach zasilanych z gniazdka 230 V. Okazuje się, że silników w otaczających Cię sprzętach jest więcej niż mogłoby się wydawać.
Dużo gorzej znaleźć transformatory, które głównie są instalowane w zasilaczach urządzeń (zarówno małych zasilaczach wtyczkowych jak i wewnątrz urządzeń zasilanych przewodem z wtyczką). Realnie rzecz biorąc, aby znaleźć transformatory użyte w zasilaczach należało by rozkręcić każde urządzenie fizycznie sprawdzić jakie rozwiązanie w zasilaczu zastosował dany producent.
Przypominam. W transformatorach energia pomiędzy uzwojeniami jest przekazywana poprzez pole elektromagnetyczne indukowane w rdzeniu wykonanym z blach ferromagnetycznych. W wielu przypadkach rdzenie te są składane z polakierowanych blach (lakier pełni role izolatora). Jeśli taki transformator przy zasilaniu napięciem sinusoidalnym ma sprawność 95 % (przy czystej sinusoidzie), to zasilając go napięciem o kształcie prostokąta obniżamy jego sprawność nawet poniżej 40 %. Dodatkowo lakierowane blachy w transformatorze zaczynają się grzać i wpadają w rezonans (dostają drgań co objawia się buczeniem transformatora). Z biegiem czasu lakier jakim pokryte są blachy pęka (izolacja przestaje istnieć) co w krótkim czasie doprowadza do jeszcze większego spadku sprawności transformatora i do awarii a nieświadomy użytkownik zastanawia się, dlaczego urządzenie mu nie działa…
Ponieważ nie jesteś w stanie ustalić w jakich urządzeniach masz transformatory więc rozważając awaryjne źródło zasilania powinieneś brać pod uwagę wyłącznie takie rozwiązania, które na wyjściu (po stronie 230 V) dają przebieg napięcia o kształcie czystej sinusoidy.
Mamy już prawie wszystkie informacje więc zanim przejdę do omawiania i wyboru awaryjnych źródeł zasilania podsumujmy na przykładzie ile prądu możesz potrzebować z rezerwowego źródła zasilania? Dobrze jeśli w tym miejscu masz już swoją listę, ale jeśli jeszcze jej nie zrobiłeś to możemy przyjąć moją przykładową symulację.
Długotrwały brak prądu czyli blackout – ile energii będzie potrzebne?
U każdego z nas obliczenia będą wyglądały inaczej, ponieważ każdy przypadek jest inny. W poniższej tabeli znajdziesz uproszczony przykład (uproszczenie cos fi = 1), który stanowi dobre zestawienie danych jakie pozwolą na wybór właściwego rezerwowego źródła zasilania na wypadek braku prądu.
| Nazwa urządzenia dla którego ma być zapewnione zasilanie awaryjne | Moc w Watach | Zasilanie 1-f czy 3-f? | Czy w urządzeniu są silniki zasilane 230 V | Zaznacz wszystkie urządzenia które będą zasilane w tym samym czasie? | Przez ile minut (w ciągu doby) urządzenie ma być zasilane? | W jakich godzinach będziesz korzystać z urządzenia? | Dobowe zap. na energię elektryczną w Wh | Maksymalne długotrwałe zap. na energię elektryczną w W |
| Lampka 1 | 15 W | 1-f | NIE | 1 | 480 min | 16:00 – 24:00 | 120 Wh | 15 W |
| Lampka 2 | 8 W | 1-f | NIE | 1 | 480 min | 16:00 – 24:00 | 64 Wh | 8 W |
| Lampka 3 | 10 W | 1-f | NIE | 1 | 480 min | 16:00 – 24:00 | 80 Wh | 10 W |
| Lampka 4 | 15 W | 1-f | NIE | 1 | 480 min | 16:00 – 24:00 | 120 Wh | 15 W |
| Radio | 20 W | 1-f | NIE | 1 | 480 min | 16:00 – 24:00 | 160 Wh | 20 W |
| Roleta 1 | 150 W | 1-f | TAK | 0 | 1 min | 1-raz ON | 3 Wh | – |
| Roleta 2 | 150 W | 1-f | TAK | 0 | 1 min | 1-raz ON | 3 Wh | – |
| Roleta 3 | 150 W | 1-f | TAK | 0 | 1 min | 1-raz ON | 3 Wh | – |
| Roleta 4 | 150 W | 1-f | TAK | 0 | 1 min | 1-raz ON | 3 Wh | – |
| Roleta 5 | 150 W | 1-f | TAK | 0 | 1 min | 1-raz ON | 3 Wh | – |
| Roleta 6 | 150 W | 1-f | TAK | 0 | 1 min | 1-raz ON | 3 Wh | – |
| Roleta 7 | 150 W | 1-f | TAK | 0 | 1 min | 1-raz ON | 3 Wh | – |
| Roleta 8 | 150 W | 1-f | TAK | 0 | 1 min | 1-raz ON | 3 Wh | – |
| Roleta 9 | 150 W | 1-f | TAK | 0 | 1 min | 1-raz ON | 3 Wh | – |
| Brama rol | 400 W | 1-f | TAK | 0 | 1 min | 1-raz ON – OFF | 13 Wh | – |
| Domofon | 60 W | 1-f | NIE | 1 | 1 440 min | całą dobę | 1 440 Wh | 60 W |
| Kocioł CO | 145 W | 1-f | TAK | 1 | 1 440 min | całą dobę | 3 480 Wh | 145 W |
| Pompka CO | 30 W | 1-f | TAK | 1 | 1 440 min | całą dobę | 720 Wh | 30 W |
| TV | 125 W | 1-f | NIE | 1 | 480 min | wieczorem | 1 000 Wh | 125 W |
| Lodówka | 100 W | 1-f | TAK | 1 | 1 440 min | całą dobę | 2 400 Wh | 100 W |
| Zamrażarka | 120 W | 1-f | TAK | 1 | 1 440 min | całą dobę | 2 880 Wh | 120 W |
| Suma: | 11 500 Wh | 648 W |
Czy w powyższym zestawieniu coś Cię zaskoczyło?
Zwróć uwagę na rolety. Czy wiesz dlaczego wpisałem dobowe zużycie energii elektrycznej na poziomie 3 Wh? Przyjąłem taką moc, ponieważ roleta ma zamontowany silnik o mocy 150 W, czyli pracując nieprzerwanie przez godzinę (60 minut zużyje 150 Wh energii elektrycznej). Skoro w moim przypadku będę pracowała tylko raz przez okres 1 minuty gdy będę otwierał roletę obliczenia wyglądają następująco: 150 W * (1 min / 60 min) = 2,5 Wh (w zaokrągleniu przyjąłem 3 Wh).
Może nie zwróciłeś na to uwagi, ale szacując zapotrzebowanie na energię elektryczną przyjęliśmy pewną rezerwę. Zwróć uwagę na wpisaną do tabeli maksymalną moc: telewizora, domofonu, lodówki lub zamrażarki. W większości przypadków urządzenia te będą pobierały mniejszą moc w stosunku do wpisanej do tabeli. Przykładowo telewizor, pobierze deklarowane 125 W tylko gdy będzie nastawiony na maksymalną głośność oraz cały ekran będzie z maksymalnym poziomem jasności „świecił” kolorem białym. W praktyce takie sytuacje zdarzają się niezmiernie rzadko, ale nie zmienia to faktu, że zużycie energii elektrycznej przez TV wacha się w zależności od wyświetlanych treści. Podobnie lodówka czy zamrażarka, jeśli nie jest ustawiona na maksymalne chłodzenie, oraz gdy nie będziesz zbyt często jej ogrzewał (otwierał) to powinna zużyć mniej prądu niż wpisana do tabeli wartość.
Zaoszczędzonym w ten sposób kilku Watom mocy nie masz się co przejmować, ponieważ domownicy zadbają o to, aby rezerwowe źródło zasilania nie miało zapasów mocy. Nagle trzeba doładować trzeba smartfon, przecież u młodzieży gry lub filmy zainstalowane na smartfonie zawsze się znajdą a u dorosłych czas braku prądu to dobry okres do nadrobienia zaległości i przesłuchania audiobooków, przeważnie „nagle” trzeba doładować latarkę lub bezprzewodowe słuchawki 😉
Wracając do omawianego przykładu zapotrzebowania na energię elektryczną. Z zestawienia otrzymaliśmy dwie informacje:
- w ciągu jednej doby zużyjemy 11 500 Wh energii elektrycznej (11,5 kWh),
- awaryjne źródło prądu musi nam zapewnić długotrwałą wydajność na poziomie 648 W w zaokrągleniu 650 W (niecałe 3 A przy 230 V pamiętając o uproszczeniu cos fi = 1).
Czy to oznacza, że w omawianym przypadku wszystko dobrze będzie działało gdy kupisz agregat lub przetwornicę napięcia o mocy 700 W? Niestety nie, to nie jest takie proste, ale wyjaśnię zagadnienie tak, aby stało się proste.
Jak dobrać agregat lub przetwornicę napięcia?
Odpowiedź na pytanie jak dobrać moc agregatu prądotwórczego lub przetwornicy napięcia z 12 lub 24 V DC na 230 V AC nie jest prosta i zależy od wielu czynników. Jeśli z awaryjnego źródła zasilania będą uruchamiane silniki to powstaje pytanie, czy mają wykonane przez producenta sterowanie i miękki start? Chodzi o to w jaki sposób jest realizowany ich rozruch i jak dużo prądu potrzebują podczas uruchamiania? Podobnie wygląda sytuacja z urządzeniami elektronicznymi, które mają w swojej konstrukcji kondensatory o dużej pojemności a w których producent nie wykonał funkcji łagodnego rozruchu czyli rozłożonego w dłuższym odcinku czasu ładowania kondensatorów (czas wydłużony do do kilku milisekund w niektórych przypadkach do kilku sekund).
Jeśli awaryjne źródło zasilania dobierzesz „na styk” do znamionowego zapotrzebowania na energię elektryczną (dane wpisane do omawianej tabeli) to najprawdopodobniej Twoje urządzenia nie dadzą się uruchomić (w uproszczeniu rezerwowe źródło zasilania nie będzie w stanie dać wystarczająco dużo prądu rozruchowego). Ciężko jest wskazać jak duży zapas mocy należy przyjąć ponieważ sytuację komplikuje różnorodność dostępnych urządzeń ich jakość oraz różne technologie wykorzystane do ich wykonania. Jednak w oparciu o swoje doświadczenie i dane podawane oficjalnie przez producentów markowych urządzeń można bezpiecznie przyjąć założenia, że moc ciągła pobierana z przetwornicy lub agregatu prądotwórczego powinna być na poziomie 42 % jego mocy znamionowej (markowi producenci podają 75 % znamionowej mocy agregatu). Informację tą możesz jedynie potraktować orientacyjnie, po wybraniu konkretnego rozwiązania należy skontaktować się z producentem i ustalić jaką rezerwę powinieneś przyjąć w tym konkretnym rozwiązaniu.
Zagadnienie omówię na przykładzie popularnego urządzenia jakim jest przetwornica napięcia (zamienia energię z akumulatora prądu stałego 12 V DC na napięcie przemienne 230 V AC).
Przykład doboru przetwornicy napięcia
Przetwornica napięcia 12 V DC / 230 V AC SINUS IPS-6000S 6000 W, według dokumentacji producenta „daje” 6 000 W (6 kW), ale po zapoznaniu się z dokumentacją dowiadujemy się, że maksymalnie można z niej „wycisnąć” 3 000 W (3 kW czyli połowę pierwotnie deklarowanej wartości). W praktyce okazuje się, że przy 3 000 W (3 kW) przetwornica się wyłącza (działają zabezpieczenia), natomiast dział techniczny producenta w odpowiedzi na mailowe zapytanie deklaruje, że owe 3 000 W należy liczyć jako chwilowe w momencie przeciążeń a długotrwale można ją obciążać maksymalną mocą 2 500 W (2,5 kW jest to 42 % z pierwotnie deklarowanej mocy 6 000 W). Jesteś zaskoczony? Ja też się zdziwiłem i cieszę się, że informacje te ustaliłem zanim zamówiłem tą przetwornicę (pierwotnie myślałem o słabszej). Więc dobrze jest znać te zależności jeszcze przed dokonaniem zakupu.
Skoro mamy już w skrócie omówione najważniejsze zagadnienia związane z ustaleniem zapotrzebowania na energię elektryczną na wypadek długotrwałego braku prądu czas zadać pytanie:
Czy instalacja elektryczna musi być specjalnie przygotowana na zasilanie rezerwowe podczas braku prądu?
To zależy. Jeśli mówimy o awaryjnym zasilaniu z wykorzystaniem automatyki SZR, to instalacja elektryczna musi być odpowiednio przygotowana tak, aby automatyka SZR była na stałe podłączona do instalacji elektrycznej. Decydując się na takie rozwiązanie najczęściej pod awaryjne źródło zasilania podłącza się cały dom lub kilka wybranych obwodów, które muszą być wyodrębnione z całej instalacji. Takie przystosowanie instalacji nie jest trudne, o ile robi się to na etapie budowy lub generalnego remontu (wymiany instalacji elektrycznej).
Jeśli mówimy o już istniejących budynkach to większość z nas mieszka w domach lub mieszkaniach gdzie instalacje elektryczne nie są przystosowane do łatwego przełączenia na rezerwowe źródło zasilania, co w mojej opinii nie jest wielka przeszkodą (o ile nie chcemy korzystać z automatyki SZR). Każdy dom lub mieszkanie jest przygotowany na krótkotrwały brak prądu, bo u większości z nas godzina lub dwie bez dostępu do energii elektrycznej nie spowoduje żadnych strat (lodówki i zamrażarki są na takie sytuacje przygotowane, a lokalnie zainstalowane UPS-y pozwolą zakończyć aktualnie wykonywane działania na komputerach stacjonarnych), jednocześnie jest to czas w którym możemy nasz dom przystosować do podłączenia pod rezerwowe źródło zasilania. W tym celu należy po budynku rozprowadzić przedłużacze, które z jednej strony są podłączone do rezerwowego źródła zasilania a z drugiej strony zasilają wybrane urządzenia. Nie chcę się powtarzać, ale jak już w tym artykule pisałem: powiedzieć jest prosto, gorzej z wykonaniem, bo powstaje pytanie czy każdy przedłużacz nadaje się do zasilenia awaryjnego?
Jaki przedłużacz wybrać?
Przyjmijmy założenie, że brak prądu wystąpił w domku jednorodzinnym (parter i piętro). Jako rezerwowe źródło zasilania na wypadek wystąpienia blackoutu zastosowano jednofazowy agregat prądotwórczy o mocy 3 000 W (3 kW), ale instalacja elektryczna nie jest przystosowana do wpięcia agregatu. Opisana sytuacja nie jest niczym nadzwyczajnym, powiedziałbym raczej, że to „polski standard”, w którym ktoś okazyjnie kupuje agregat znajdujący się akurat w jakiejś promocji (uważaj, w promocjach najczęściej sprzedaje się sprzęt atrakcyjny cenowo, niestety najczęściej po zapoznaniu się z danymi technicznymi i dostępnymi na rynku rozwiązaniami najczęściej okazuje się, że kupiony w promocji produkt bardzo rzadko pokrywa się z Twoimi rzeczywistymi potrzebami). Ale wróćmy do tematu. Jak bezpiecznie i bez zbędnych strat doprowadzić prąd z agregatu do urządzeń znajdujących się w różnych częściach domu?
Zaraz, zaraz, o jakich ja stratach piszę? Przecież podłącza się przedłużacz i tyle. Niestety tak nie jest. Każdy przedłużacz składa się z żył przez które przepływa prąd. Jeśli przedłużacz jest długi i ma „cienkie żyły” a jednocześnie podłączone obciążenie będzie spore to może okazać się, że rezerwowe źródło prądy dane nam 230 V a na końcu przedłużacza mamy zaledwie 150 V. To właśnie są straty o których piszę i które występują w praktyce, choć jak przekonasz się niebawem wiele osób nie wie dlaczego dany sprzęt nie działa.
Przecież podejście większości domowników jest „praktyczne”. 3 000 W, które przykładowo daje agregat to sporo energii, wiec domownicy podłączają co się da. Jeśli w przedłużaczu brakuje gniazdek to domownicy znajdą kolejny przedłużacz, albo użyją „złodziejki”, będą tak podłączać póki „bezpieczniki” nie wywalą – o ile są zabezpieczenia nadprądowe (to fachowa nazwa potocznych bezpieczników lub „korków”), bo fakt istnienia zabezpieczeń to nie jest oczywisty, ale to temat na osobny artykuł.
Powstaje więc pytanie jak prowizorycznie i bezpiecznie doprowadzić zasilanie z rezerwowego źródła prądu do urządzeń końcowych rozmieszczonych po całym domu?
Odpowiedź jest prosta – przedłużaczem. Tylko jakim? Jeśli wcześniej nie zastanawiałeś się nad tym zagadnieniem to zaczyna się bieganie po całym domu i zbieranie przypadkowo zakupionych na przestrzeni lat przedłużaczy. Dwa, trzy… pięć połączonych ze sobą przedłużaczy i okazuje się, że to wszystko mało. Przydałoby się jeszcze kilka metrów przedłużacza. Co gorsza w wielu przypadkach okaże się, że urządzenia podłączone na końcu przedłużacza (szczególnie te z silnikami) nie chcą działać? Dobrze się domyślasz, to właśnie straty napięcia o których już wspominałem.
Ponieważ przyda nam się to w dalszej części artykułu wyjaśnię o co dokładnie chodzi z tymi stratami i spadkami napięcia.
Jak zbudowany jest przedłużacz?
Wróćmy do samego przedłużacza. Zazwyczaj przedłużacz jednofazowy zbudowany jest z trzech elementów: wtyczki, przewodu, gniazdka. Na potrzeby tego artykułu wystarczy jak wspomnę, że wtyczki i gniazda określają parametry:
- z bolcem i bez bolca ochronnego (z uziemieniem lub bez uziemienia),
- ze względu na maksymalne dopuszczalne obciążenie dzielą się na 10 i 16 A.
Przypomnę, bolec ochronny, o ile jest prawidłowo podłączony (przewód PE lub PEN w instalacji z najczęściej spotykanym układem połączeń TN-C, TN-C-S, TN-S) zwany potocznie uziemieniem, pełni bardzo ważną funkcje. W dużym uproszczeniu rolą przewodu ochronnego PE (bolec w gniazdku) jest zapewnienie bezpieczeństwa dla osób, które użytkują urządzenia elektryczne.
Przyjmijmy założenie, że w lodówce, pralce lub komputerze stacjonarnym nastąpiło uszkodzenie izolacji i napięcie dostało się na metalową obudowę (producenci w tych urządzeniach przewidzieli wtyczkę z bolcem). W takim przypadku poprzez żyłę ochronną PE (bolec w gniazdku) napięcie jest odprowadzane do systemu uziemienia co powinno skutkować zadziałaniem wyłącznika różnicowoprądowego lub powinien zostać spełniony warunek samoczynnego wyłączenia zasilania. Nie chcę zanudzać więc napiszę krótko. Jeśli wszystko działa tak jak powinno to dzięki przewodowi PE (bolec w gniazdku) zasilanie powinno zostać wyłączone.
Wróćmy do kluczowej części przedłużacza jaką jest przewód. W uproszczeniu przewody możemy podzielić na dwie grupy:
- bardzo miękkie (izolacja najczęściej czarna wykonana z gumy) nazywane potocznie warsztatowe lub przemysłowe,
- miękkie (izolacja najczęściej biała wykonana z polwinitu) nazywane potocznie mieszkaniowe.
W tym opracowaniu nie będę zajmował się izolacją, a zwrócę uwagę na przekrój żył (proszę nie mylić przekroju z średnicą – wyjaśnione jest to w artykule: Rafał – średnica żyły, czy oszukują na jakości kabli i przewodów?). W skrócie chodzi o sytuacje w których na przedłużaczu występują na tyle duże spadki napięcia, że urządzenie podłączone na jego końcu nie będzie prawidłowo funkcjonować. Temat ten wraz z przykładami opisałem w artykule: Jurek – czy agregat nadaje się do zasilenia podkaszarki? Zachęcam do zapoznania się z artykułem.
Po zapoznaniu się z powyższym artykułem nie powinna Cię zaskoczyć moja odpowiedź na pytanie: Jaki przedłużacz wybrać? Uważam, że uniwersalnym rozwiązaniem będzie przygotowanie dwóch lub trzech jednofazowych przedłużaczy o długości 10 m każdy i wykonanych na przewodach 3×2,5 mm2, zakończonych gumowym rozgałęźnikiem (przedłużacz będzie stosunkowo ciężki wiec gumowy rozgałęźnik w praktyce będzie bardziej trwały niż „plastikowy”).
Dzięki takiemu rozwiązaniu przedłużacze w codziennym życiu będą miały uniwersalne zastosowanie, a w przypadku braku prądu pozwolą bezpiecznie o bez zbędnych strat dostarczyć zasilanie do różnych miejsc w budynku. Jednocześnie (dzięki rozgałęźnikom) umożliwią podłączenie do nich innych, krótszych mieszkaniowych przedłużaczy o „cieńszych żyłach” które doprowadzą zasilanie do konkretnego urządzenia np. lampki biurkowej lub lodówki.
Tu doszliśmy do jeszcze jednego trudnego zagadnienia, które dotyczy większości kuchni w których lodówki i zamrażarki są zabudowane. Zastanów się, w jaki sposób na wypadek długotrwałego braku prądu można dostać się do wtyczki, którą lodówka lub zamrażarka podłączona jest do gniazdka? Dobrze, jeżeli takie gniazdko ukryte jest np. w pobliskiej szafce, tak aby wyłączenie wtyczki lodówki lub zamrażarki nie wymagało demontażu elementów stałej zabudowy.
Ponieważ omówiliśmy już wszystkie ważne zagadnienia związane przygotowaniem do wybrania rezerwowego źródła zasilania wiec zróbmy przegląd domowych urządzeń, które mogą zapewnić nam niezależność energetyczną na wypadek blackoutu. Najpopularniejszym z nich jest agregat.
Agregat prądotwórczy jako rezerwowe źródło zasilania na okres braku prądu
Jest dość popularnym źródłem zasilania rezerwowego najczęściej kupowanym pod wpływem chwilowego impulsu. Decydując się na agregat prądotwórczy należy dobrze dobrać jego moc w stosunku do przewidywanego zapotrzebowania. Agregaty prądotwórcze występują w wykonaniu jedno i trójfazowym i co ważne generują sinusoidalny przebieg napięcia co jak pamiętasz jest szczególnie ważne przy zasilaniu urządzeń zawierających w swej konstrukcji silniki i transformatory. Występują w wersjach z silnikami zasilanymi: benzyną, ropą i gazem.
Decydując się na agregat prądotwórczy należy rozważyć kilka zagadnień:
- miejsce pracy a miejsce przechowywania?
- odprowadzanie spalin,
- rozruch ręczny, czy automatyczny SZR,
- stabilizacja napięcia,
- podłączenie do uziemienia,
- hałas,
- rodzaj paliwa,
- zapas paliwa i sposób powiadomienia o kończącym się paliwie.
Ponieważ same hasła niewiele mówią, krótko je omówię, ale aby nie powielać już opisanych kwestii proszę zapoznaj się z krótkim artykułem: Agregat prądotwórczy czy UPS? w którym szczegółowo omówiłem kilka zagadnień związanych z agregatami. Zagadnienia omówione w przywołanym artykule są ważne dla zrozumienia dalszej części tego opracowania.
Wracając do przywołanych powyżej zagadnień (których nie omówiłem w powyższym artykule) które warto omówić i najłatwiej zrobić to na przykładzie. Ponieważ w swojej pracy spotykam się z ludźmi na terenie całej Polski, mam okazję zaobserwować jak w praktyce wyglądają różne, wydawałoby się proste zagadnienia. Opierając się o moje doświadczenia to w domku jednorodzinnym obsługa agregatu jako rezerwowego źródła zasilania na wypadek długotrwałego braku prądu najczęściej wygląda następująco.
Jeśli z agregatu korzysta się okazyjnie (raz na kilka lat), to w praktyce jest „gdzieś” zagracony. Uwzględniając jego wagę i gabaryty stoi gdzieś w garażu pod stertą różnych gratów. Dbając o jego sprawność należy zadać pytanie kiedy ostatnio był w nim wymieniany olej? Dziwi Cię to pytanie? Mimo, że agregat nie jest używany olej się starzeje i zgodnie z zaleceniami producenta należy go wymienić (najczęściej raz w roku).
Kolejna kwestia to paliwo. Prawdopodobnie od ostatniego uruchomienia (właściciel najczęściej nie potrafi określić dokładnej daty kiedy to było – kiedyś działał) benzyna pozostawiona w baku „zwietrzała” i agregat nie chce się uruchomić (od razu wykluczyłem agregaty z silnikami diesla i zasilane gazem ponieważ to profesjonalne bardzo rzadko spotykane w budownictwie mieszkaniowym rozwiązania). Wracając do zwietrzałej benzyny, skąd tu wziąć wężyk do spuszczenia paliwa? Gdzie leży klucz do świecy, no i skąd wziąć świeże paliwo? Przecież stacja paliw również nie ma prądu.
Podczas zakupu większość osób zwraca uwagę na niską cenę wiec kupuje agregat w wersji podstawowej (akcesoria kosztują) bez kółek i rączek ułatwiających transport. Teraz okazuje się, że „wytarganie” agregatu ważącego od 50 do 130 kg nie jest takie proste (gorzej jak mężczyzna jest akurat w delegacji lub przydarzyła mu się jakaś choroba i z zagadnieniem uruchomienia agregatu została sama kobieta – fajnie jak ma do pomocy nastoletnie dzieci). Zaraz a przedłużacze? No przecież są potrzebne więc przedłużacze, paliwo… zanosi się na grubszą robotę… To może nie uruchamiać agregatu, bo może za niedługo wróci prąd? Właśnie tak w praktyce po kilku latach wygląda uruchomienie agregatu w domku jednorodzinnym.
Z drugiej strony uruchomienie tymczasowo postawionego w garażu agregatu (bez wyciągania tam gdzie stoi) nie wchodzi w grę (chodzi o temperaturę – chłodzenie i spaliny, które muszą być odprowadzane na zewnątrz).
Ale nawet jeśli wyciągniesz i uruchomisz agregat to pamiętaj, że w celu zapewnienia bezpieczeństwa należy go podłączyć do systemu uziemienia (wiem nikt o tym nie mówi, ale sprawdź, takie zapisy na pewno są w dokumentacji swojego agregatu). Połączenie może być wykonane do szyny wyrównania potencjałów, albo do osobno wykonanego uziomu np. wbita szpilka. Ważne, aby po wykonaniu uziemienia właściwymi przyrządami elektryk z odpowiednimi uprawnieniami dokonał pomiarów rezystancji uziemienia. Wynik pomiarów powinien być poniżej 10 Ω.
UWAGA!
W niektórych źródłach znajdziesz zapisy mówiące o rezystancji uziemienia poniżej 30 Ω, ale należy pamiętać, że w Twojej domowej instalacji wykonane uziemienie jest wspólne dla agregatu i ograniczników przepięć, które jako część instalacji LPS zgodnie z Polskimi Normami wymagają rezystancji uziemienia poniżej 10 Ω (z jednym wyjątkiem dotyczącym gruntów skalistych).
Brak podłączenia agregatu prądotwórczego do uziemienia grozi porażeniem prądem. Bez tego połączenia nie będą działać umieszczone w domowej rozdzielnicy wyłączniki różnicowoprądowe (o ile agregat podpinany jest do istniejącej instalacji elektrycznej), a w razie wypadku ubezpieczyciel może odmówić wypłaty odszkodowania związanych z utratą życia lub zwrotem kosztów leczenia.
Powyższe zagadnienia wielokrotnie analizujemy z elektrykami podczas szkoleń które prowadzę. Najczęściej wnioski są takie, że w przypadku agregatów prądotwórczych najbardziej „opłaca się” zamontować agregat na stałe i wyposażyć go w automatykę SZR (należy zakupić agregat, który ma możliwość współpracy z SZR). Takie rozwiązanie co prawda wiąże się z pewnymi dodatkowymi kosztami, ale dzięki temu uruchomienie i konserwacja agregatu jest znacznie prostsza (agregat można zamontować w specjalnie do tego celu wybudowanej ziemiance która może być częścią ogródkowego skalniaka ;).
Zanim dokonamy inwestycji i kupimy agregat wraz z automatyką SZR sprawdźmy na podstawie ogólnie dostępnych danych katalogowych ile pali agregat? Dokonaj prostego przeliczenia i sprawdź koszty eksploatacji czyli przynajmniej ile paliwa w ciągu doby zużyją omawiane agregaty prądotwórcze? Na razie na podstawie listy sporządzonej na początku artykułu wiesz jakie masz zapotrzebowanie na energię elektryczną, co ułatwi Ci sprawdzenie jakie koszty związane z paliwem może mieć Twój agregat?
W poniższym zestawieniu w stosunku do tabel omawianych w artykule: Agregat prądotwórczy czy UPS? dołożyłem trzy kolumny. W jednej znajdziesz informacje na temat dobowego spalania, a w drugiej ile razy w ciągu doby będziesz musiał uzupełniać paliwo (pojemność zbiornika paliwa w agregacie jest ograniczona), natomiast w trzeciej dołożonej kolumnie wpisałem realną moc jaką masz do dyspozycji przy zalecanym przez producenta maksymalnym ciągłym obciążeniu agregatu na poziomie 75 %.
| Model Fogo | Spalanie l/dobę przy obciążeniu 75% |
Ile razy trzeba napełnić zbiornik |
Realna moc przy 75% obciążeniu |
Dobowy koszt paliwa |
|
|---|---|---|---|---|---|
| 1 – fazowe | F 3001 R | 33,6 l/24h | 9,3 x | 2,0 kW | 192 zł |
| FH 4001 R | 52,8 l/24h | 10 x | 3,2 kW | 302 zł | |
| FH 6001 TE | 64,8 l/24h | 1,4 x | 4,7 kW | 371 zł | |
| FV 10001 TRE | 108 l/24h | 2,4 x | 7,1 kW | 618 zł | |
| FV 11001 TRE | 117,6 l/24h | 2,6 x | 7,9 kW | 673 zł | |
| 3 – fazowe |
FH 6000 R | 52,8 l/24h | 10 x | 4,1 kVA | 302 zł |
| FH 8000 TR | 64,8 l/24h | 1,4 x | 5,8 kVA | 371 zł | |
| FH 9000 TR | 64,8 l/24h | 1,4 x | 6,4 kVA | 371 zł | |
| FV 13000 TRE | 108 l/24h | 2,4 x | 9,4 kVA | 618 zł | |
| FV 15000 TRE | 117,6 l/24h | 2,6 x | 10,9 kVA | 673 zł | |
| FV 20000 TRE | 156 l/24h | 3,5 x | 14,6 kVA | 892 zł | |
| Wszystkie wymienione agregaty zasilaną są benzyną. Cena 1 l benzyny 95 = 5,72 zł/l z dnia 2021-12-28 według https://www.autocentrum.pl/paliwa/ceny-paliw/ | |||||
Jeśli uważnie analizowałeś powyższe zestawienie w kolumnach związanych z mocą zauważyłeś dwie różne jednostki kW i kVA. W przypadku agregatów 1-fazowych producenci podają moc w kilo Watach (kW), a w przypadku agregatów 3-fazowych moc podawana jest w kilo Wolto Amperach (kVA). Pamiętaj 1 000 W = 1 kW.
Jaka jest różnica pomiędzy kW a kVA?
To trudne zagadnienie wyjaśnię w uproszczeniu, w Watach (W) podajemy moc czynną (oznaczaną symbolem P) natomiast w Wolto Amperach (VA) moc pozorną (oznaczaną symbolem S), czyli sumę mocy czynnej (tej za którą płacimy jako użytkownicy indywidualni) i mocy biernej (przedsiębiorcy poza moczą czynna płacą również za moc bierną stąd ich zainteresowanie zagadnieniami kompensacji mocy biernej).
Moce te oblicza się za pomocą wzorów:
P=U*I*cos fi
S=U*I
P – moc czynna w watach (W)
U – napięcie w woltach (V)
I – prąd w amperach (A)
cos fi – stosunek mocy czynnej P do mocy pozornej S
S – moc pozorna w wolto amperach (VA)
Przykład
Przyjmuje się, że cos fi dla silnika prądu przemiennego wynosi 0,8 a dla grzałki 1,0 więc obliczając prąd z przekształcenia wzoru na moc czynną otrzymujemy:
| cos fi | Prąd | |
| Silnik 150 W 230 V AC | 0,8 | 0,82 A |
| Grzałka 150 W 230 V AC | 1,0 | 0,65 A |
Jak widzisz mimo, że oba urządzenia mają moc 150 W i oba są zasilane z napięcia 230 V pobierają różny prąd (elektrotechnika tyko pozornie jest prosta).
Podsumowując, jeśli moc agregatu podawana jest w VA lub kVA (najczęściej w agregatach 3-fazowych) to producent określa w ten sposób maksymalną moc pozorną odbiorników jakie można podłączyć do agregatu przy założeniu cos fi = 0,8 (przy innej wartości cos fi producent agregatu powinien podać przyjętą wartość cos fi).
Ale to nie jest koniec niespodzianek. Pozostaje pytanie:
Czy przy agregacie 3-fazowym ważne jest symetryczne rozłożenie obciążenia?
Jeśli decydujesz się na podłączenie agregatu 3-fazowego musisz zwrócić uwagę na równomierne obciążenie faz.
W przypadku obciążeń asymetrycznych współczynnik mocy cos Ø (inny zapis omawianego wyżej cos fi) nie jest jednakowy dla poszczególnych faz. W każdej fazie jego wartość może być różna i uzależniona od wartości mocy czynnej i biernej obciążającej fazę. Niepożądanym skutkiem niesymetrycznego obciążenia jest wzrost wartości napięcia ponad wartość znamionową w fazie mniej obciążonej. Oszacowanie mocy deformacji powodowanej niesymetrycznym obciążeniem jest dość trudne, zatem zgodnie z zaleceniami producentów zespołów prądotwórczych (agregatów napięcia), podczas projektowania układu zasilania awaryjnego należy zadbać, by przy zasilaniu odbiorników z zespołu prądotwórczego asymetria obciążenia nie przekraczała 20%.
Źródło: Poradnik projektanta elektryka wydanie V rozdział 7.15. Zespoły prądotwórcze.
Autorzy: mgr inż. Julian Wiatr, mgr inż. Marcin Orzechowski
O czym piszą autorzy tego fragmentu? Zwracają uwagę, że poszczególne fazy agregatu prądotwórczego powinny być równomiernie obciążone, gdyż w przeciwnym razie zbyty duże napięcie może uszkodzić podłączone urządzenia. W ten sposób doszliśmy do zagadnienia związanego z stabilizacją napięcia.
Co to jest stabilizacja napięcia w agregacie prądotwórczym?
W agregatach prądotwórczych poziom napięcia uzależniony jest od obrotów silnika. Omawiając to zagadnienie w dużym uproszczeniu można przytoczyć przykład.
Jeśli do agregatu prądotwórczego (bez stabilizacji napięcia) o mocy 9,5 kW pracującego z jakimś niewielkim obciążeniem np. 100 W podłączymy kilka dużych urządzeń o łącznej mocy np. 5 000 W, to w ten sposób spowodujemy gwałtowny spadek obrotów silnika który przełoży się na znaczny spadek napięcia. Agregat zareaguje i będzie starał się wyrównać obroty (pisząc obrazowo to tak, jakbyś w samochodzie dał gazu aby utrzymać stałą prędkość wjeżdżając pod sporą górkę). Ponieważ agregat pod wpływem dużego obciążenia zwiększa obroty to napięcie będzie również wzrastać, ale gdy dojdzie do pewnej wartości zbliżonej do znamionowej napięcie gwałtownie wzrośnie (to tak jak wspomniany już samochód w którym kierowca dąży do jazdy z stałą prędkością, gdy dojedzie do szczytu wzniesienia prędkość auta gwałtownie wzrośnie skończy się górka a pedał gazu jest jeszcze wciśnięty). Taka sytuacja może łatwo doprowadzić do powstania przepięć które mogą uszkodzić czułe odbiorniki zawierające elektronikę. Z tego powodu do rezerwowego zasilania domów warto wybierać tylko te agregaty prądotwórcze, które mają elektroniczną stabilizację napięcia.
Jak wynika z przytoczonych przykładów zasilanie awaryjne z agregatu prądotwórczego nie jest tak prostym zagadnieniem jak mogłoby się wydawać. Jednak w mojej ocenie w czasie długotrwałego braku prądu największy kłopot z agregatem prądotwórczym w domku jednorodzinnym polega na dostępności paliwa.
Benzyna ma stosunkowo krótki okres przydatności do użycia (około 1 roku) a przechowywanie kilkudziesięciu lub kilkuset litrów benzyny jest kosztowne i kłopotliwe. Zwietrzałe paliwo należy oddać do utylizacji co znów wiąże się z dodatkowymi kosztami. Aby paliwo było świeże należało by na bieżąco je zużywać i uzupełniać świeżym. W większości domków znajduje się spalinowa kosiarka do trawy oraz kanister 5 l, tylko, że przy „paliwożerności” agregatu to tyle co nic. Przecież mówimy o długotrwałym braku prądu (do 3 dni czyli 72 h).
Jak już pisałem stacje benzynowe w większości nie są przygotowane na brak prądu. Dla nich brak prądu, pomimo pełnych zbiorników paliwa oznacza brak możliwości sprzedaży, a jak pamiętasz z powyższego zestawienia, benzynowe agregaty prądotwórcze są dość „paliwożerne”. Dla ułatwienia w poniższym zestawieniu uwzględniłem koszty paliwa w ciągu 72 h, przyjmując, że agregat pracuje całą dobę z stałym obciążeniem równym 75 % jego mocy znamionowej.
Ponieważ w przypadku blackoutu, czyli długotrwałego braku prądu zakładaliśmy, że energii elektrycznej może brakować do 3 dni (72 h) wiec pomnóż dobowy koszt paliwa x3.
| Model Fogo | Realna moc przy 75 % obciążeniu | Koszt paliwa po 3 dniach pracy | |
|---|---|---|---|
| 1 – fazowe | F 3001 R | 2,0 kW | 576 zł |
| FH 4001 R | 3,2 kW | 906 zł | |
| FH 6001 TE | 4,7 kW | 1 113 zł | |
| FV 10001 TRE | 7,1 kW | 1 854 zł | |
| FV 11001 TRE | 7,9 kW | 2 019 zł | |
| 3 – fazowe |
FH 6000 R | 4,1 kVA | 906 zł |
| FH 8000 TR | 5,8 kVA | 1 113 zł | |
| FH 9000 TR | 6,4 kVA | 1 113 zł | |
| FV 13000 TRE | 9,4 kVA | 1 854 zł | |
| FV 15000 TRE | 10,9 kVA | 2 019 zł | |
| FV 20000 TRE | 14,6 kVA | 2 676 zł | |
| Wszystkie wymienione agregaty zasilaną są benzyną. Cena 1 l benzyny 95 = 5,72 zł/l z dnia 2021-12-28 według https://www.autocentrum.pl/paliwa/ceny-paliw/ |
|||
Czy spodziewałeś się takich kosztów eksploatacji agregatu? Można zadać pytanie: dlaczego agregat ma pracować przez całą dobę? Przecież może chodzić tylko przez kilka godzin. To prawda, ale czas pracy agregatu przyjąłem zgodnie z założeniami listy urządzeń dla jakich rezerwowe zasilanie ma zostać zapewnione na wypadek braku prądu. Jeśli uważasz, że na liście można dokonać zmian to je wprowadź i powtórnie przeanalizuj jaki agregat spełni Twoje nowe oczekiwania.
Skoro agregaty prądotwórcze mamy już omówione przejdźmy do kolejnego źródła energii elektrycznej cieszącego się zainteresowaniem wielu osób czyli do UPS-ów.
UPS – rezerwowe źródło zasilania na brak prądu
UPS-y w domach i mieszkaniach zdobyły popularność jako niedrogie kompaktowe urządzenia zapewniające podtrzymanie zasilania dla komputerów stacjonarnych. W tym miejscu należy powiedzieć, że UPS-y w profesjonalnych rozwiązaniach występują również w wersjach trójfazowych. UPS-y są powszechnie stosowane jako zabezpieczenia przez zanikiem zasilania w serwerowniach i innych systemach automatyki głównie jako chwilowe źródła zasilania najczęściej do kilkudziesięciu minut (czasami do 2-3 godzin). Chwilowe ponieważ ich zadanie jest podtrzymać zasilanie do czasu uruchomienia innego bardziej ekonomicznego źródła zasilania, które jest w stanie zapewnić dostawy energii elektrycznej w dłuższym okresie czasu.
O ile UPS-y w rozwiązaniach domowych są dość atrakcyjne cenowo, to jeśli mówimy o dużych pojemnościach lub o rozwiązaniach trójfazowych należy liczyć się z sporymi wydatkami (sporymi w stosunku do ilości zapewnianej energii). W przypadku UPS-ów 3-fazowych mówimy o kosztach zaczynających się od kilku do kilkudziesięciu tysięcy złotych z dodatkowo liczonym kosztem montażu i uruchomienia co często jest warunkiem niezbędnym do uzyskania gwarancji producenta.
W przypadku UPS-ów 1-fazowych o niewielkich mocach do 200 W, można rozważyć pewne ekonomiczne rozwiązanie, które opisałem w poniższym artykule, ale należy zwracać uwagę na generowany na wyjściu przebieg napięcia. Jak już wielokrotnie pisałem w tym artykule dla silników i transformatorów wymagany jest przebieg sinusoidalny.
W tym miejscu warto powtórnie zachęcić do przeczytania artykułu: UPS do domku, czyli awaryjne zasilanie rolet i pieca CO.
Ponieważ przywołany artykuł zawiera sporo informacji na temat UPS-ów i związanych z nimi zagadnień czas przejść do kolejnego możliwego do zastosowania rezerwowego źródła prądu jakim są przetwornice napięcia.
Przetwornica napięcia jako alternatywa na brak prądu
Co to jest przetwornica napięcia? Przetwornica napięcia jest to urządzenie, które zasilane z akumulatora 12 lub 24 V DC (np. samochodowy) daje na wyjściu napięcie 230 V AC (jak w gniazdku elektrycznym). Dobierając przetwornicę napięcia należy zwrócić szczególną uwagę na przebieg napięcia jaki uzyskujemy po stronie 230 V AC (czy jest to czysta sinusoida)? Zagadnienie to już wielokrotnie omawiałem więc tylko przypomnę, że silniki elektryczne i transformatory zasilane z 230 V AC do prawidłowej pracy wymagają zasilania napięciem o przebiegu sinusoidalnym.
Warto wiedzieć, że przetwornice napięcia, które generują po stronie 230 V przebieg sinusoidalny są znacznie droższe w porównaniu z przetwornicą napięcia tej samej mocy generującą przebieg sinusoidopodobny lub sinusoidę aproksymowaną (zagadnienie to wraz z przykładami opisałem w artykule: UPS do domku, czyli awaryjne zasilanie rolet i pieca CO). Ponieważ omawiamy zasilanie awaryjne na wypadek długotrwałego braku prądu czyli blackoutu, więc jednym z zasilanych urządzeń prawdopodobnie będzie lodówka lub kocioł CO. Zasilanie lodówki lub kotła CO wymusza użycie przetwornicy napięcia, która po stronie 230 V AC generuje przebieg „czystej” sinusoidy.
Jak dobrać moc przetwornicy napięcia?
Jeśli chcesz być zadowolonym z wyboru przetwornicy napięcia jako awaryjnego źródła zasilania na wypadek braku prądu powinieneś zwrócić uwagę na dwa parametry:
- właściwy dobór mocy przetwornicy w stosunku do przewidywanego obciążenia,
- właściwy dobór akumulatora (to kluczowy, niewygodny dla sprzedawcy więc często pomijany temat).
Przypominam zagadnienie, które już w tym artykule omawiałem:
Przetwornicę napięcia 12 V DC / 230 V AC SINUS IPS-6000S 6 000 W, według dokumentacji producenta „daje” 6 000 W (6 kW), ale po zapoznaniu się z dokumentacją dowiadujemy się, że maksymalnie można z niej „wycisnąć” 3 000 W (3 kW połowę pierwotnie deklarowanej wartości). W praktyce okazuje się, że przy 3 000 W przetwornica się wyłącza (działają zabezpieczenia). Dział techniczny producenta w odpowiedzi na mailowe zapytanie deklaruje, że owe 3 000 W należy liczyć jako chwilowe w momencie przeciążeń a długotrwale można ją obciążać mocą maksimum 2 500 W (2,5 kW, jest to 42 % z pierwotnie deklarowanej mocy 6 000 W). Dobrze jest znać te zależności jeszcze przed dokonaniem zakupu.
W związku z tym, możemy w uproszczeniu przyjąć założenie, że realnie długotrwale jesteśmy w stanie wykorzystywać z przetwornicy napięcia około 42 % pierwotnie deklarowanej mocy.
Dokonując wyboru przetwornic napięcia spotkasz się z różnymi napięciami zasilającymi przetwornicę i najczęściej będziesz miał do wyboru przetwornice zasilane z 12 lub 24 V DC.
Która przetwornica napięcia jest lepsza? Zasilana z 12 czy 24 V?
Wbrew pozorom odpowiedź na to pytanie jest dość prosta. Sprawdź na jakie napięcie masz akumulatory w swoich samochodach i wybierz przetwornicę, którą w razie potrzeby będziesz mógł zasilić z samochodowego akumulatora (nie jest to zalecane, o czym będę dalej pisał ale pamiętaj, że mówimy o sytuacji awaryjnej). Dzięki temu napięcie 230 V AC będziesz miał dostępne wszędzie tam, gdzie będziesz miał przy sobie akumulator i przetwornicę a więc nawet na weekendowym wypadzie nad wodę. Byle być blisko samochodu 🙂
Wracając do kwestii kluczowej jaką jest dobór akumulatora przytoczę zapis z omawianej już przetwornicy napięcia SINUS IPS-6000S. Producent w dokumentacji technicznej podaje:
W przypadku pracy z dużymi obciążeniami dobór odpowiedniego akumulatora jest niezwykle istotny (wariant pracy poza pojazdem / brak możliwości doładowania). Zbyt mały akumulator zostanie całkowicie rozładowany nawet w kilka minut co w rezultacie może doprowadzić do jego trwałego uszkodzenia. Dla napięcia 12V należy przyjąć zasadę: akumulator o pojemności 10Ah przy obciążeniu 100W – realny czas pracy około 40 minut, a dla napięcia 24V – około 80min.
UWAGA: cykliczne rozładowywanie akumulatora kwasowego-ołowioweo do bardzo niskiego poziomu naładowania (<10V) drastycznie skraca jego żywotność!
Źródło: https://www.polskieprzetwornice.pl/sklep/instrukcje/Instrukcja_obs%C5%82ugi_SINUS_IPS_3000_4000_6000.pdf
Jak przekonasz się z dalszej części artykułu producent przetwornicy świadomie lub nieświadomie (wolę wierzyć, że nie jest celowe działanie) wprowadza potencjalnego klienta w błąd. Sugeruje mu stosowanie do przetwornicy napięcia akumulatora samochodowego, ale do tego jeszcze dojdziemy w dalszej części materiału. Na tą chwilę należy podkreślić, że w sprzedaży są „podobne” akumulatory różnej jakości projektowane pod różne potrzeby.
Zwróć uwagę na poniższą tabelę. Można kupić profesjonalny akumulator 12 V o pojemności 120 Ah (z lewej), lub w błędnym przekonaniu większości potencjalnych użytkowników jego „tańszy odpowiednik” (z prawej). Błędnej ponieważ większość osób porównując akumulatory sprawdza napięcie i pojemność, ewentualnie wymiary co bardziej doświadczeni zapytają o rodzaj podłączeń. W rzeczywistości w tabeli przedstawiłem dwa zupełnie różne akumulatory co prawda mają to samo napięcie i pojemność, ale nie oczekuj, że podczas pracy z przetwornicą napięcia osiągną choć porównywalne parametry (o żywotności nie wspomnę).
![]() |
![]() |
Pamiętaj, rozważamy rezerwowe źródło zasilania, czyli takie, które będzie rzadko używane, ale na wypadek braku prądu wymagania stawiane przed przetwornicą i akumulatorem są dość wysokie.
W dalszej części artykułu posłużę się przykładem akumulatora Sonnenschein A412/120A, który kupiłem do zasilania elektrycznego zaburtowego silnika łodzi wędkarskiej a który służy mi ponad 8 lat. Jak dowiadujemy się z dokumentacji producenta projektowana żywotność akumulatorów Sonnenschein A412/120A wynosi 12 lat (80% pozostałej pojemności z C10) a trwałość (proces samorozładowania) wynosi do 2 lat bez doładowania. Zwróć uwagę, że przedstawione dane (żywotność oraz trwałość) dotyczą temperatury otoczenia 20°C.
Jak pokazuje poniższy przykład przedstawiony w tabeli wyżej cytowane informacje podawane przez producenta przetwornicy odnośnie czasu pracy przy podłączeniu do akumulatora (chyba w oparciu o jego akumulatory) nie są precyzyjne a wręcz wprowadzają w błąd użytkownika który dysponuje innym akumulatorem.
Przedstawię to na przykładzie akumulatora (dokumentacja techniczna do pobrania po kliknięciu w link) Akumulator Sonnenschein A412/120 A NGA4120120HS0CA Kod EAN: 2050001755711.
Poniższa tabela przedstawia jaką moc można bezpiecznie pobrać z akumulatora NGA4120120HS0CA w określonym czasie. Zwróć uwagę jak precyzyjnie producent podał, że jeśli z akumulatora w określonym czasie będzie się pobierało stałe obciążenie to akumulator rozładuje się do określonego napięcia. Ponieważ posiadam omawiany akumulator Sonnenschein A412/120A i przytaczaną w przykładzie przetwornicę SINUS IPS-6000S, kolorem zielonym w poniższych tabelach zaznaczyłem interesujące mnie dane (czyli ile realnie energii elektrycznej mogę bezpiecznie odzyskać z akumulatora nie doprowadzając go do głębokiego rozładowania).
| Akumulator Sonnenschein A412/120A NGA4120120HS0CA – rozładowanie w W w temperaturze 20°C (poziom rozładowania w V) | ||||||
| Czas rozładowania akumulatora | 1,85 V/celę | 1,80 V/celę | 1,75 V/celę | 1,70 V/celę | 1,65 V/celę | 1,60 V/celę |
| 11,1 V | 10,8 V | 10,5 V | 10,2 V | 9,9 V | 9,6 V | |
| 2 min | 2 418 W | 2 958 W | 3 453 W | 3 821 W | 4 111 W | 4 297 W |
| 3 min | 2 254 W | 2 668 W | 3 084 W | 3 501 W | 3 798 W | 3 942 W |
| 5 min | 1 964 W | 2 286 W | 2 593 W | 2 938 W | 3 170 W | 3 330 W |
| 7 min | 1 773 W | 2 027 W | 2 262 W | 2 497 W | 2 682 W | 2 779 W |
| 10 min | 1 575 W | 1 769 W | 1 940 W | 2 090 W | 2 194 W | 2 260 W |
| 15 min | 1 385 W | 1 496 W | 1 610 W | 1 699 W | 1 757 W | 1 791 W |
| 20 min | 1 272 W | 1 346 W | 1 387 W | 1 441 W | 1 474 W | 1 494 W |
| 30 min | 1 109 W | 1 146 W | 1 176 W | 1 195 W | 1 205 W | 1 210 W |
| 45 min | 914 W | 971 W | 997 W | 1 008 W | 1 012 W | 1 014 W |
| 1 h | 745 W | 802 W | 829 W | 840 W | 845 W | 847 W |
| 2 h | 410 W | 446 W | 460 W | 460 W | 460 W | 460 W |
| 3 h | 300 W | 326 W | 329 W | 330 W | 331 W | 332 W |
Ale pamiętaj że przedstawiana powyżej tabela to czyta teoria, ponieważ osiągniecie przedstawionych w powyższej tabeli parametrów w praktyce jest nierealne. Dlaczego? Ponieważ przetwornica napięcia musi być do akumulatora podłącza za pomocą przewodów na których szczególnie przy dużych obciążeniach mogą powstać spadki napięć wpływające na sprawność całego układu (zagadnienie omawiane już w tym artykule przy okazji doboru przedłużaczy). Wykorzystanie oryginalnie dołączonych do przetwornicy przewodów zasilających według mnie jest kiepskim pomysłem ponieważ chcąc wykorzystywać przetwornicę wraz z akumulatorem jako rezerwowe źródło zasilania dążę do maksymalnego ograniczenia występujących w układzie strat w tym spadków napięcia na przewodach łączących przetwornicę z akumulatorem. Wymieniam wiec oryginalne przewody które są bardzo twarde i jak na moje potrzeby mają stosunkowo mały przekrój – są „cienkie” na inne. Wybieram przewody które mają większy przekrój i są miękkie. Przekrój przewodów dobrałem tak, aby spadek napięcia występujący na przewodach pod pełnym obciążeniem nie przekroczył 1 %. Ponieważ możesz być w podobnej sytuacji omówię jak samodzielnie możesz dobrać przewody do połączenia przetwornicy napięcia z akumulatorem (w ten sam sposób możesz dobrać przewody do wykonania kabli rozruchowych, które szczególnie zimą warto wozić w samochodzie).
Jak dobrać przewody do połączenia przetwornicy napięcia z akumulatorem?
Dobierając przekrój żyły przewodu musisz znać przynajmniej dwa parametry. Maksymalny prąd jaki będzie przepływał przez przewód, lub maksymalną moc urządzeń jakie do tego przewodu będziesz podłączał oraz długość przewodu. Ponieważ mówimy o przewodach które będą luźno poprowadzone w powietrzu nie będziemy zajmować się bardziej skomplikowanymi obliczeniami uwzględniającymi inne parametry, na nasze potrzeby wystarczą uproszczone obliczenia.
Wracając do obliczeń ustal jaki maksymalny prąd będziesz długotrwale pobierał z akumulatora? Ponieważ z wcześniejszych obliczeń wiesz jakie masz zapotrzebowanie na energię elektryczną więc na tej podstawie możesz dobrać przetwornicę napięcia. Pamiętaj należy wybierać przetwornicę z przebiegiem „czystej sinusoidy” i dobrać ją z pewnym zapasem mocy przyjmij, że wykorzystasz maksymalnie 42 % maksymalnej podawanej przez producenta mocy.
W przypadku mojej przetwornicy SINUS IPS-6000S długotrwale mogę ją obciążać mocą 2 500 W, więc korzystając z wzoru:
P=U*I to I=P/U
P – moc w watach (W)
U – napięcie w woltach (V)
I – prąd w amperach (A)
otrzymamy maksymalną wartość prądu długotrwale płynącego z akumulatora do przetwornicy napięcia. W moim przypadku obliczenia wyglądają następująco:
I = 2 500 W / 12 V = 208 A
Ponieważ znam już maksymalny prąd (208 A) jaki musi pobrać moja przetwornica napięcia aby pracować z „pełną mocą” sprawdzę czy mój akumulator jest w stanie długotrwale oddać prąd o takiej wartości?
| Akumulator Sonnenschein A412/120A NGA4120120HS0CA – rozładowanie w A w temperaturze 20°C (poziom rozładowania w V) | ||||||
| Czas rozładowania akumulatora | 1,85 V/celę | 1,80 V/celę | 1,75 V/celę | 1,70 V/celę | 1,65 V/celę | 1,60 V/celę |
| 11,1 V | 10,8 V | 10,5 V | 10,2 V | 9,9 V | 9,6 V | |
| 5 min | 175,0 A | 202,0 A | 233,0 A | 280,0 A | 311,0 A | 333,0 A |
| 10 min | 138,0 A | 155,0 A | 174,0 A | 200,0 A | 217,0 A | 228,0 A |
| 15 min | 120,0 A | 133,0 A | 145,0 A | 160,0 A | 169,0 A | 175,0 A |
| 20 min | 108,0 A | 119,0 A | 127,0 A | 136,0 A | 142,0 A | 146,0 A |
| 30 min | 95,0 A | 102,0 A | 106,0 A | 109,0 A | 111,0 A | 112,0 A |
| 45 min | 78,0 A | 85,0 A | 88,0 A | 90,0 A | 91,0 A | 91,0 A |
| 1 h | 61,0 A | 67,0 A | 69,0 A | 70,0 A | 71,0 A | 71,0 A |
| 2 h | 37,0 A | 39,0 A | 40,0 A | 40,0 A | 41,0 A | 41,0 A |
| 3 h | 27,5 A | 28,7 A | 29,1 A | 29,3 A | 29,4 A | 29,5 A |
| 4 h | 22,3 A | 23,0 A | 23,3 A | 23,4 A | 23,4 A | 23,4 A |
| 5 h | 18,9 A | 19,4 A | 19,5 A | 19,6 A | – | – |
| 8 h | 13,0 A | 13,2 A | 13,2 A | 13,2 A | – | – |
| 10 h | 11,3 A | 12,0 A | 12,0 A | 12,0 A | – | – |
W moim przypadku nie mam się czym martwić. Mój akumulator przyjmując maksymalne rozładowanie do 9,6 V jest w stanie dać mi nawet 333 A przez 5 minut (dla mnie wystarczy). Jeśli w Twoim przypadku okazało by się, że akumulator nie jest w stanie zapewnić wartości prądu jakiej oczekujesz, lub czas przez jaki możesz pobierać tak duży prąd jest dla Ciebie zbyt krótki należy pomyśleć nad wymianą akumulatora na inny model lub nad połączeniem równoległym dwóch takich samych akumulatorów. Na poniższych rysunkach przedstawiłem ogólną zasadę połączenia szeregowego i równoległego akumulatorów. Zwróć uwagę, że w obu przypadkach w układach płyną prądy o różnej wartości pomimo, że są zastosowane te same akumulatory przetwornica napięcia obciążona jest taką samą mocą (w jednym przypadku jest przetwornica 12 V a w drugim 24 V).
Pamiętaj, że w akumulatorach zgromadzona jest duża energia a popełnione błędy mogą doprowadzić do eksplozji, pożaru i poparzenia kwasem. Z tego powodu jeśli nie masz odpowiedniej wiedzy, uprawnień i doświadczenia zleć wykonanie prac fachowcom.
Skoro znasz napięcie zasilające przetwornicy oraz znasz maksymalny prąd jaki długotrwale będzie przepływał przez przewody to możesz wrócić do doboru przekroju przewodu łączącego przetwornicę napięcia z akumulatorem. Abyś mógł obliczyć przekrój musisz ustalić jaka będzie odległość pomiędzy przetwornicą napięcia a akumulatorem (odległość należy liczyć po długości przewodu z uwzględnieniem minimalnego promienia gięcia, który dotyczy wszystkich kabli i przewodów).
Ponieważ rozmawiamy o zasilaniu awaryjnym na wypadek długotrwałego braku prądu w związku z tym do dalszych obliczeń przyjmuję maksymalny spadek napięcia na przewodach łączących akumulator z przetwornicą jako 1 %. Oznacza to, że jeśli przy pełnym obciążeniu mierzyłbym zapięcie na zaciskach akumulatora to otrzymam wynik 12,00 V a uwzględniając 1 % spadek napięcia na przewodzie na zaciskach przetwornicy będę miał napięcie 11,88 V. W moim przypadku spadek napięcia wyniesie 0,12 V.
Założenia do obliczeń: napięcie akumulatora 12 V DC, prąd długotrwały 208 A (moc obciążenia 2 500 W), maksymalny spadek napięcia na przewodzie 1 %.
| Znamionowy przekrój żyły w mm2 | Maksymalna długość dwu żyłowego przewodu jaki mogę użyć do połączenia aby utrzymać maksymalnie 1 % spadek napięcia. |
| 10 mm2 | 20 cm |
| 16 mm2 | 30 cm |
| 25 mm2 | 40 cm |
| 35 mm2 | 60 cm |
| 50 mm2 | 80 cm |
| 70 mm2 | 1,1 m |
| 95 mm2 | 1,5 m |
| 150 mm2 | 2,4 m |
Obliczenia nie są trudne (sposób ich wykonania jest szczegółowo opisany w artykule który już czytałeś: UPS do domku, czyli awaryjne zasilanie rolet i pieca CO), ale jak już wielokrotnie wspominałem każdy przypadek jest inny.
Jeśli chcesz, sam możesz policzyć na podstawie posiadanych dwużyłowych przewodów jaką maksymalną długość przewodu możesz dać. Wzór poniżej:
gdzie:
L – długość dwużyłowego przewodu w [m]
A – przekrój pojedynczej żyły w [mm2]
Un – napięcie instalacji [V]
æ – rezystywność materiału przewodu (dla CU æ =56 m/Ωmm2)
du – spadek napięcia w [%]
P – moc przesyłana w [W]
Skoro wiesz już jaki będzie przekrój żyły przewodu to pozostaje pytanie w jaki sposób dokonać połączenia przetwornicy napięcia z akumulatorem?
Jak połączyć przetwornicę napięcia z akumulatorem?
Pytanie może wydawać się banalne, ale w mim przypadku uwzględniając wagę akumulatora 48 kg, oraz wagę przetwornicy prawie 8 kg otrzymujemy wynik 56 kg, o przewodach nie wspomnę ;) . Z tego względu zdecydowałem się na zastosowanie gniazda z wtyczką dzięki czemu mogę łatwo przenosić sam akumulator i samą przetwornicę a potem bez użycia jakichkolwiek narzędzi łączyć lub rozłączać mój zestaw (warto abyś dokonał własnych obliczeń, sprawdź jaką wagę będzie miał Twój zestaw i zastanów się czy będziesz chciał zrobić z niego mobilny zestaw zasilania awaryjnego).
Znalezienie gniazda i wtyczki o rozsądnych rozmiarach które mogą długotrwale i bezpiecznie przenosić prądy powyżej 250 A nie jest proste. Po zapoznaniu się z ofertą dostępnych na rynku rozwiązań zdecydowałem się użyć złącza Anderson SB350 używane do podłączania akumulatorów w elektrycznych wózkach widłowych.
Dla zainteresowanych - złącze składa się z osobno kupowanych elementów:
- obudowy (SB350 nr 913)
- styków dobieranych do przekroju przewodu (2 szt 907-BK dla przewodu 70 mm2)
- uchwytu ułatwiającego rozłączenie (995G4).
Aby uzyskać komplet (gniazdo i wtyk) należy zamówić 2 szt obudowy, 4 szt styków i 2 szt uchwytu. Złącza (gniazdo wtyk) są identyczne i pasują do siebie po obróceniu o 180o. Zastosowanie takich złącz zabezpiecza przed przypadkowym pomyleniem polaryzacji (zamienienie + z -) co może doprowadzić do uszkodzenia przetwornicy napięcia (mało która ma wbudowane zabezpieczenia przed zamianą polaryzacji napięcia zasilającego).
Dlaczego omawiając długości przewodów poruszam kwestię złącz (wtyczki i gniazda)?
Omawiam te dodatkowe elementy ponieważ mają wpływ na ostateczną długość przewodów (zwróć uwagę na powyższą tabelkę nieraz 10 cm ma znaczenie). Znam realizacje w których przetwornica jest połączona z akumulatorem przewodami o długości 20 cm, ale zarówno przetwornica jak i akumulator są zabudowane są na specjalnie do tego przygotowanej konstrukcji. Jeśli z akumulatora i przetwornicy chcesz zrobić zestaw mobilny (tak jest w moim przypadku bo akumulator wykorzystuje również do zasilenia elektrycznego silnika zaburtowego w łodzi wędkarskiej) należy dążyć do zmniejszenia masy całego zestawu (zresztą na łodzi nie potrzebuję przetwornicy 12 V DC na 230 V AC, bo na łodzi wprowadzi tylko niepotrzebnie dodatkowe zagrożenie) w związku z tym rozłączanie zestawu w moim przypadku jest koniecznością. Uwzględniając moje potrzeby oraz minimalne promienie gięcia montaż złącz (gniazdo i wtyk) łączna długość przewodów zasilających przetwornicę wyniosła 1 metr przez co minimalny przekrój przewodu w moim przypadku musi być 70 mm2.
Jeśli Twój zestaw nie będzie zabudowany na stałe to tak jak w moim przypadku bardzo ważne, aby zakupić miękkie przewody zbudowane z wielu bardzo cienkich drucików (określa to klasa giętkości żył 5 lub 6 podawana w katalogach producentów przewodów) w izolacji gumowej lub tzw. "flex". Dobrym rozwiązaniem jest wybór przewodów spawalniczych H01N2-D 70 100/100V (są sprzedawane na metry), ale występują najczęściej w kolorze czarnym (trzeba bardzo uważać, aby podczas podłączania nie zamienić biegunów ponieważ można doprowadzić do uszkodzenia przetwornicy napięcia). Ponieważ chciałem mieć przewody kolorach czerwony i czarny (taka zachcianka) wiec w celu poszukiwania giętkich kolorowych przewodów o przekroju 70 mm2 można udać się do sklepów specjalizujących się w nagłośnieniu samochodów (szukaj w Google pod hasłami: Car Audio).
Skoro masz już przewody dobrane do Twoich potrzeb to czas zastanowić się jak zabezpieczyć akumulator?
Jak zabezpieczyć akumulator przed zwarciem lub przeciążeniem?
Wątpię abyś celowo dążył do zrobienia zwarcia lub przeciążenia ale ponieważ wypadki się zdarzają warto zawczasu zamontować odpowiednie zabezpieczenia. Jeśli rozmawiamy o prądach rzędu 300 A to wybór bezpieczników topikowych oraz pasujących do nich gniazd nie jest duży.
Zaraz, ale skąd ja wziąłem 300 A? Przecież wcześniej pisałem, że przetwornica pobiera 208 A?
Wszystko się zgadza, chodzi o prąd jaki pobiera przetwornica w trakcie uruchomienia (ładują się kondensatory), przez co chwilowy pik prądowy jest znacznie przekracza 208 A. Po konsultacji z działem technicznym producenta mojego modelu przetwornicy ustaliłem, że akumulator należy zabezpieczyć bezpiecznikiem topikowym o wartości 300 A (jak podał producent powinno wystarczyć). Zastanowiło mnie słowo "powinno", jakie użył producent pisząc mi maila więc zapobiegawczo wybrałem gniazdo w które mogę zamontować bezpiecznik 300, 400 lub 500 A ;)
Nie wiem jakie gniazdo bezpiecznikowe będziesz brał pod uwagę, ale zastosowany rodzaj gniazda i bezpiecznika topikowego określa sposób podłączenia co może mieć wpływ na łączną długość przewodów (pamiętaj że przewody są grube a należy przestrzegać minimalnego promienia gięcia).
Aby maksymalnie ograniczyć długość przewodów i ułatwić sobie montaż zastosowałem bezpiecznik montowany bezpośrednio na klemie plusowej akumulatora (szukaj pod hasłem: Klema plusowa pod bezpiecznik MegaVal produkcji MTA).
![]() |
![]() |
Przewody łączące akumulator z przetwornicą napięcia należy zakańczać tulejkami (są różne rodzaje tulejek które zaciska się na przewodzie). Pamiętaj aby w żadnym wypadku nie lutować przewodów łączących akumulator z przetwornicą (grozi to przegrzaniem izolacji i znacznie zwiększa ryzyko ułamania przewodu). Żyły przewodów miękkich (linek) o przekroju od 6 do 240 mm2 zakańcza się końcówkami oczkowymi np. KM 70/10, KM 70/8 produkcji Ergom, gdzie cyfra pierwsza określa przekrój przewodu natomiast cyfra druga określa średnicę otworu pod śrubę mocującą końcówkę. Końcówki takie zaprasowuje się na żyłach przewodu za pomocą specjalnej praski którą posiada większość elektryków. Zaciskanie końcówek w imadle lub "zaklepywanie młotkiem" jest niedopuszczalnym błędem, który w połączeniu z dużymi prądami przepływającymi przez tak wykonane połączenie może bardzo łatwo doprowadzić do pożaru (o spadkach napięcia występujących na takim połączeniu nawet nie będę wspominał).
W celu ograniczenia ryzyka przypadkowego zwarcia na zaprasowaną końcówkę oczkową należy założyć i obkurczyć za pomocą gorącego powietrza odpowiednio dopasowaną rurkę termokurczliwą (najlepiej rurkę z klejem). Na powyższych zdjęciach końcówka jest bez rurki termokurczliwej ponieważ czekam na praskę, którą zacisnę końcówkę na żyle przewodu.
Jak widzisz wydawałoby się błahe zagadnienia o których w chyba żadnym opracowaniu nikt nawet nie wspomina mają duży wpływ na końcowy efekt i zadowolenie użytkownika. Czas zatem zastanowić się:
Jaką moc realnie uzyskam z akumulatora?
Skoro omówiliśmy zagadnienia związane z podłączeniem przetwornicy z akumulatorem (wiemy jak ograniczyć spadki napięcia) warto urealnić maksymalną moc jaką możemy uzyskać z akumulatora o straty występujące na każdej przetwornicy. W moim przypadku producent w dokumentacji technicznej podaje sprawność przetwornicy > 92 %.
Uwzględniając wszystkie omawiane powyżej zagadnienia i założeniu, że mówimy o nowym akumulatorze (przy optymalnej dla akumulatora temperaturze 20 oC), realnie muszę spodziewać się, że w przypadku długotrwałego braku prądu akumulator pozwoli mi na zasilanie urządzeń o łącznej mocy do 303 W przez okres 3 godzin (przed uwzględnieniem strat było 329 W).
| Akumulator Sonnenschein A412/120A NGA4120120HS0CA – rozładowanie w W w temperaturze 20°C z uwzględnieniem strat na przetwornicy IPS-6000S Sinus 12 V sprawność > 92 % | ||||||
| Czas rozładowania akumulatora | 1,85 V/celę | 1,80 V/celę | 1,75 V/celę | 1,70 V/celę | 1,65 V/celę | 1,60 V/celę |
| 11,1 V | 10,8 V | 10,5 V | 10,2 V | 9,9 V | 9,6 V | |
| 2 min | 2 225 W | 2 721 W | 3 177 W | 3 515 W | 3 782 W | 3 953 W |
| 3 min | 2 074 W | 2 455 W | 2 837 W | 3 221 W | 3 494 W | 3 627 W |
| 5 min | 1 807 W | 2 103 W | 2 386 W | 2 703 W | 2 916 W | 3 064 W |
| 7 min | 1 631 W | 1 865 W | 2 081 W | 2 297 W | 2 467 W | 2 557 W |
| 10 min | 1 449 W | 1 627 W | 1 785 W | 1 923 W | 2 018 W | 2 079 W |
| 15 min | 1 274 W | 1 376 W | 1 481 W | 1 563 W | 1 616 W | 1 648 W |
| 20 min | 1 170 W | 1 238 W | 1 276 W | 1 326 W | 1 356 W | 1 374 W |
| 30 min | 1 020 W | 1 054 W | 1 082 W | 1 099 W | 1 109 W | 1 113 W |
| 45 min | 841 W | 893 W | 917 W | 927 W | 931 W | 933 W |
| 1 h | 685 W | 738 W | 763 W | 773 W | 777 W | 779 W |
| 2 h | 377 W | 410 W | 423 W | 423 W | 423 W | 423 W |
| 3 h | 276 W | 300 W | 303 W | 305 W | 305 W | 305 W |
Ponieważ to teoretyczne dane podawane dla nowego akumulatora, proponuję dla bezpieczeństwa przyjąć realne wartości o 20 % mniejsze od podanych w powyższej tabeli. Pozwoli to na uwzględnienie innych temperatur w jakich będzie eksploatowany akumulator oraz uwzględni proces starzenia się akumulatora (producent podawał po 12 latach akumulator Sonnenschein A412/120A powinien mieć 80 % pozostałej pojemności z C10). Poniższa tabela uwzględnia przyjętą 20 % rezerwę (co najwyżej mile się zdziwię, że akumulator przez dłuższy czas dostarcza energii).
| Akumulator Sonnenschein A412/120A NGA4120120HS0CA – rozładowanie w W w temperaturze 20°C z uwzględnieniem strat na przetwornicy IPS-6000S Sinus 12 V sprawność > 92 % | ||||||
| Czas rozładowania akumulatora | 1,85 V/celę | 1,80 V/celę | 1,75 V/celę | 1,70 V/celę | 1,65 V/celę | 1,60 V/celę |
| 11,1 V | 10,8 V | 10,5 V | 10,2 V | 9,9 V | 9,6 V | |
| 2 min | 1 780 W | 2 177 W | 2 542 W | 2 812 W | 3 026 W | 3 162 W |
| 3 min | 1 659 W | 1 964 W | 2 270 W | 2 577 W | 2 795 W | 2 902 W |
| 5 min | 1 446 W | 1 682 W | 1 909 W | 2 162 W | 2 333 W | 2 451 W |
| 7 min | 1 305 W | 1 492 W | 1 665 W | 1 838 W | 1 974 W | 2 046 W |
| 10 min | 1 159 W | 1 302 W | 1 428 W | 1 538 W | 1 614 W | 1 663 W |
| 15 min | 1 019 W | 1 101 W | 1 185 W | 1 250 W | 1 293 W | 1 318 W |
| 20 min | 936 W | 990 W | 1 021 W | 1 061 W | 1 085 W | 1 099 W |
| 30 min | 816 W | 843 W | 866 W | 879 W | 887 W | 890 W |
| 45 min | 673 W | 714 W | 734 W | 742 W | 745 W | 746 W |
| 1 h | 548 W | 590 W | 610 W | 618 W | 622 W | 623 W |
| 2 h | 302 W | 328 W | 338 W | 338 W | 338 W | 338 W |
| 3 h | 221 W | 240 W | 242 W | 244 W | 244 W | 244 W |
Może powiesz mało tej energii odda akumulator i krótkie są czasy podtrzymania zasilania. Pamiętaj, że każdy z nas ma inne potrzeby i to co sprawdza się u mnie dla Ciebie może być bezużyteczne. Przecież zawsze mogę zmniejszyć ilość urządzeń korzystających z energii elektrycznej, i / lub dołożyć kolejny akumulator (połączenie równoległe). Kończąc temat akumulatorów do zasilania przetwornic napięcia jako rezerwowego źródła zasilania chciałbym wspomnieć o wciąż powtarzającym się pytaniu:
Jaki akumulator należy dobrać do przetwornicy napięcia?
Jako rezerwowe źródło prądu należy wykorzystywać akumulatory VRLA, które można również spotkać pod nazwą SLA. Ze względu na charakterystykę pracy do zasilania awaryjnego (np. współpracy z przetwornicą napięcia) należy zastosować akumulator szczelny typu AGM ewentualnie akumulator żelowy. Gdy zaczniesz samodzielnie rozpoznawać temat związany z doborem akumulatorów AGM spotkasz się z określeniem: akumulator do pracy buforowej lub akumulator do pracy cyklicznej.
Ponieważ zagadnienie to w wielu opracowaniach występuje jedynie jako hasło, bez dodatkowego wyjaśnienia uważam, że należy wyjaśnić te pojęcia.
Praca buforowa akumulatora polega na tym, że akumulator pełni rolę zasilacza awaryjnego. W takim zastosowaniu naładowany akumulator jest w pogotowiu a w przypadku braku prądu akumulator zapewnia zasilanie rezerwowe. Takie zastosowanie akumulatorów najczęściej występuje w systemach alarmowych, UPS-ach, oświetleniu awaryjnym itp.
Praca cykliczna akumulatora polega na tym, że jest on wykorzystywany jako samodzielne źródło zasilania np. w wózkach elektrycznych, przetwornicach napięcia, kosiarkach, elektrycznych silnikach zaburtowych łodzi wędkarskich itp.
Abyś miał komplet informacji dotyczących przetwornic napięcia i współpracujących z nimi akumulatorów muszę jeszcze odpowiedzieć na wciąż powtarzające się pytanie:
Czy akumulator samochodowy można wykorzystać do zasilania awaryjnego?
W praktyce wiele osób wykorzystuje akumulator samochodowy do zasilania przetwornicy napięcia (takie sugestie można znaleźć również w dokumentacji producentów przetwornic napięcia), ale nie jest to zalecane. Dlaczego?
Akumulator samochodowy jest akumulatorem rozruchowym co oznacza, że dostarcza on dużą ilość energii w krótkim czasie. Przy długotrwałym obciążeniu (co jest normalne przy wykorzystaniu przetwornicy napięcia) akumulator rozruchowy szybko traci swoją sprawność. Nie będę rozwijał tego tematu (rodzajów akumulatorów oraz ich przeznaczenia) bo to obszerne zagadnienie na osobny artykuł, ale na pewno nie będziesz zaskoczony jeśli napiszę, że po jakimś czasie pobraną z każdego akumulatora energię elektryczną trzeba uzupełnić. Zwróć uwagę co dzieje się z akumulatorem kwasowo-ołowiowym w trakcie procesu ładowania? Czy podczas ładowania lub rozładowywania akumulatora w zamkniętym pomieszczeniu czułeś specyficzny zapach? To mieszanina wybuchowych gazów, wiec należy zadać pytanie:
Czy akumulator może wybuchnąć?
W większości samochodów akumulator rozruchowy jest umieszczony pod maską (w dobrze wentylowanym miejscu) co ogranicza kumulację wydzielanych gazów. W niektórych samochodach akumulatory montowane są w bagażniku, ale przeważnie są to akumulatory AGM o specjalnej konstrukcji odpowiednio dobranej do miejsca zainstalowania.
Pamiętaj, że akumulator pracujący w samochodzie ma zupełnie inną pracę niż akumulator wykorzystywany w systemach zasilania awaryjnego. W akumulatorze samochodowym (rozruchowym) który będzie wykorzystywany do zasilania przetwornicy napięcia będzie parował elektrolit (akumulatory "bezobsługowe" też odparowują), jak już wspominałem akumulator rozruchowy ma gorszą sprawność i pod wpływem stałego, długotrwałego obciążenia będzie szybko zużyty. Poza tym akumulator podczas ładowania wydziela wybuchową mieszaninę gazów tlenu i wodoru (iskra może spowodować wybuch), więc miejsce jego ładowania (szczególnie gdy zamontowane na stałe jest kilka akumulatorów) często jest zaliczone do strefy zagrożenia wybuchem w której występują obostrzenia w stosunku do instalowanego i używanego osprzętu elektrycznego (szukaj pod hasłem strefy EX). Zapraszam do obejrzenia krótkiego filmu obrazującego zagadnienie.
Powstaje pytanie co robić gdy podczas długotrwałego braku prądu wyczerpie się akumulator?
Brak prądu czyli blackout jak naładować akumulator?
W przypadku braku prądu jest kilka sposobów naładowania akumulatora:
- z samochodu. W przypadku akumulatorów AGM nie jest to najlepszy sposób (chyba, że instalacja elektryczna w samochodzie jest przystosowana do akumulatorów AGM), ale rozmawiamy o sytuacjach awaryjnych wiec warto wspomnieć, że taka awaryjnie taka opcja istnieje. Wykorzystanie samochodu jako "ładowarki" jest możliwe jeśli akumulator ma to samo napięcie co instalacja w Twoim samochodzie. Pamiętaj, że nie jest to rozwiązanie wspierające ekologię i pewnie znajdziemy bardziej ekonomiczne sposoby ładowania akumulatora, ale rozważamy możliwe awaryjne opcje ładowania. Realnie póki masz paliwo w baku i jeśli masz czym podłączyć akumulator do akumulatora w samochodzie (np. kable rozruchowe) to w praktyce masz możliwość doładować akumulator z którego korzysta przetwornica.
- Z instalacji fotowoltaicznej. Przygotowując się na blackout, czyli długotrwały brak prądu można zainwestować w niewielką instalację fotowoltaiczną typu OFF-GRID (instalacja samodzielna nie podłączona do sieci zasilającej).
- Z turbin wiatrowych (poziomych lub pionowych).
W przypadku wykorzystania instalacji OZE (fotowoltaiczna instalacja off-grid lub hybrydowa lub turbiny wiatrowe) do ładowania akumulatora mamy dwie możliwości:
-
- instalacja z akumulatorami,
- instalacja bez akumulatorów.
Rozważając ładowanie akumulatora z wykorzystaniem OZE (Odnawialne Źródła Energii czyli fotowoltaika lub turbiny wiatrowe lub połączenie fotowoltaiki i turbin wiatrowych) mam na myśli ekonomiczne instalacje stosunkowo niewielkiej mocy. Z takiej instalacji OZE wystarczy wytworzyć napięcie 230 V AC, o mocy około 500 watów większej niż ciągłe awaryjne zapotrzebowanie Twoich urządzeń (lista urządzeń o której pisałem na początku artykułu). Dzięki temu w trakcie godzin produkcji energii elektrycznej z OZE możemy zasilać urządzenia i podłączyć do tak wytworzonego zasilania np. ładowarkę CTEK MSX 10 (pobiera 322 W) z pomocą której możemy naładować lub doładować akumulator (ładowarka ta ma funkcję ładowania akumulatorów AGM).
Z własnego doświadczenia wiem, że ładowarka ładowarce nie równa. Od kilku lat używam ładowarki CTEK MSX 10, która głęboko rozładowany akumulator Sonnenschein 120 Ah ładuje do pełna w czasie około 12 godzin.
Podsumowując przetwornice napięcia jako awaryjne źródła zasilania należy zadać pytanie, czy uwzględniając wszystkie omówione tu zagadnienia warto brać pod uwagę przetwornicę napięcia jako awaryjne źródło zasilania na wypadek długotrwałego braku prądu?
Moim zdaniem TAK (przynajmniej jako system wspomagający), ponieważ mówimy o rozwiązaniu awaryjnym, więc jeśli zminimalizuję zapotrzebowanie na energię elektryczną to przynajmniej podstawowe urządzenia będą miały zasilanie przez kilka godzin w ciągu doby (zakładam, że brak prądu nie będzie dłuższy niż 72 godziny), jednocześnie akumulator i przetwornicę mogę wykorzystywać w normalnych warunkach (kemping, wypad na ryby czy zasilanie na działce rekreacyjnej bez dostępu do energii elektrycznej) więc w moim przypadku jest to rozwiązanie uzasadnione ekonomicznie.
Skoro przetwornice napięcia i współpracujące z nimi akumulatory mamy już choć pobieżnie omówione można przejść do kolejnego rezerwowego źródła zasilania jakim jest fotowoltaika.
Fotowoltaika na wypadek braku prądu
W przypadku wystąpienia długotrwałego braku prądu czyli blackoutu większość posiadaczy instalacji fotowoltaicznych pozostanie bez dostępu do energii elektrycznej. Zakładając instalacje fotowoltaiczne osoby te wybierały wariant on-grid (nadmiar wyprodukowanej energii elektrycznej jest magazynowany w sieci energetycznej, przez co sieć energetyczna pełni role "banku energii"). Niestety w tej technologii w inwerterze są zainstalowane zabezpieczenia, które automatycznie wyłączają inwerter w przypadku "braku prądu" w sieci zasilającej.
Wystąpił brak prądu, czy i co można zrobić, aby z fotowoltaiki mieć zasilanie?
Aby uniezależnić istniejącą już instalację fotowoltaiczną od braków prądu można wymienić obecny inwerter on-grid na inwerter hybrydowy lub off-grid. Co prawda wiążę się to z pewnym wydatkiem oraz przeróbką obecnej instalacji elektrycznej, ale przecież rozmawiamy o uzyskaniu niezależności energetycznej a nie o finansowym zwrocie z poniesionej inwestycji.
Rozmawiając o fotowoltaice często spotykam się z pytaniem, który typ fotowoltaiki jest lepszy? Czy lepiej wybrać instalacje fotowoltaiczną off-grid czy hybrydową?
Spójrz na poniższe grafiki, porównaj rodzaje instalacji a będziesz wiedział jakie są główne różnice pomiędzy poszczególnymi instalacjami fotowoltaicznymi.
Jak widzisz z przedstawionych uproszczonych schematów połączeń jedynie instalacja on-grid nie ma podłączonego banku energii (akumulatorów) przez co jest najtańsza w zakupie i eksploatacji (nie trzeba konserwować i wymieniać baterii akumulatorów). Nie będę tu rozwijał zagadnienia doboru akumulatorów do fotowoltaiki a jedynie wspomnę, że w dedykowanych do fotowoltaiki bankach energii wykorzystuje się akumulatory litowo-jonowe (Li-Ion) lub litowo-polimerowe (Li-Poly) lub kwasowo-ołowiowe (rozróżnia się trzy technologie wykonania: FM, AGM, żelowe). Często pada pytanie:
Fotowoltaika z akumulatorami czy bez akumulatorów?
Decydować się na rozwiązanie z akumulatorami (bankiem energii) czy bez akumulatorów? Odpowiedzi na te pytania nie są proste. Z fotowoltaiką jak z każdym innym zagadnieniem wiąże się sporo niuansów, które należy omówić i indywidualnie przeanalizować. Każdy wariant ma swoje wady i zalety a każdy z nas ma inne potrzeby i czego innego oczekuje od instalacji fotowoltaicznej. Dodatkowo sytuację utrudnia szybko rozwijająca się technologia bo rozwiązania, które dziś są bardzo kosztowne lub wręcz niemożliwe do wykonania w warunkach domowych za kilkanaście miesięcy sytuacja może się zmienić i dane rozwiązanie może być już w zasięgu rozwiązań instalowanych w domowych instalacjach fotowoltaicznych.
W dużym skrócie rozwiązania z własnymi, dobrze dobranymi akumulatorami (bankami energii) zapewniają niezależność energetyczną, ale są droższe w zakupie i utrzymaniu. Należy pamiętać, że banki energii jak każdy akumulator mają swoją żywotność i co jakiś czas wymagają wymiany (okres liczony w latach lub cyklach ładowania i rozładowywania czasami określane w ilości energii pobranej z akumulatora w MWh).
W warunkach domowych można zastosować dedykowane fotowoltaice banki energii lub kupić lub złożyć zestaw off-grid albo hybrydowy przystosowany do współpracy z akumulatorami a następnie dobrać odpowiednie akumulatory i zbudować z nich "bank energii" o odpowiednio dużej pojemności. Drobna uwaga cena banków energii jest najczęściej pochodną jakości i użytej technologii co ma podstawowy wpływ na parametry danego banku energii w tym na ilość energii oraz trwałość. Rozważając bank energii spróbuj dokonać kalkulacji w oparciu o 20 letni okres użytkowania (zobacz ile razy w tym okresie będziesz musiał wymienić zestaw akumulatorów?). Dopiero takie długotrwałe uchwycenie kosztów pozwoli oszacować, który bank energii jest rzeczywiście tani?
Pamiętaj aby dobierając pojemność banku energii uwzględnić realne zapotrzebowanie na energię elektryczną, czyli wracamy do zagadnienia omawianego na początku artykułu. Nie zapomnij o sprawdzeniu jakie możliwości oddania zgromadzonej w akumulatorach energii ma wybrany przez Ciebie bank energii (wracamy do zagadnień jakie opisywałem w tym artykule przy przetwornicach napięcia).
Podsumowując zestaw akumulatorów i moc instalacji fotowoltraicznej powinny być tak dobrane, aby instalacja fotowoltaiczna w trakcie normalnego dnia pracy mogła w 100 % naładować rozładowany zestaw akumulatorów i jednocześnie, aby była w stanie na bieżąco zasilać wybrane urządzenia (pamiętajmy rozmawiamy o sytuacji długotrwałego braku prądu czyli blackout). Dobierając moc instalacji fotowoltaicznej uwzględnij, że instalacja fotowoltaiczna w różnych porach roku wytwarza różne ilości energii (w zimie najmniej, w lecie najwięcej).
Ponieważ tematy i wyzwania związane z wykonaniem instalacji fotowoltaicznej szczegółowo opisałem w artykule: Czy instalacja fotowoltaiczna się opłaca? nie będę w tym artykule powielał tych zagadnień lecz przejdę do kolejnego źródła zasilania rezerwowego.
Alternatywą dla instalacji fotowoltaicznej jest nieduża domowa elektrownia wiatrowa.
Elektrownia wiatrowa czyli turbiny poziome lub pionowe alternatywą na brak prądu
Pozyskiwanie energii elektrycznej z wiatru jest kuszącą propozycją, ale zanim się na to zdecydujesz proponuję przeprowadzić test. W miejscu przyszłego montażu turbiny wiatrowej załóż czujnik wiatru (np. windSensor i wind&rainSensor), który umożliwia Ci bieżące odczyty siły wiatru w bezpłatnej aplikacji wBox lub w przeglądarce internetowej, ale najważniejsze, że zapisuje historyczne odczyty siły wiatru. Dzięki temu w dowolnym okresie (np. po pełnym roku od zainstalowania czujnika) dane możesz wyeksportować do pliku CSV i analizować w Excelu. Dzięki temu ustalisz w jakich okresach w Twojej lokalizacji wieją wiatry a co najważniejsze będziesz wiedział jaka jest ich prędkość. W ramach przykładu poniżej zamieszczam zrzut z mojego czujnika wiatru. Przedstawiony okres dotyczy ostatnich dwóch dni, gdzie linią zieloną zaznaczona jest średnia siła wiatru natomiast czerwone kreski oznaczają maksymalną siłę wiatru w danym okresie (pełnej analizy w Excelu nie będę tu przytaczał).
Na podstawie tych danych osoby specjalizujące się w sprzedaży turbin wiatrowych będą mogły doradzić Ci optymalną do Twoich potrzeb turbinę wiatrową.
W uproszczeniu turbiny wiatrowe możemy podzielić na pionowe i poziome. Poziome kształtem swym zbliżone są do wentylatorów, natomiast turbiny pionowe konstruowane są w różnych ciekawych kształtach. Najlepiej jak sam sprawdzisz kształty turbin wiatrowych, w Google Grafika możesz szukać pod hasłem: "domowe turbiny wiatrowe".
Turbiny wiatrowe należy potraktować podobnie jak fotowoltaikę czyli na podstawie Twojego zapotrzebowania na energię elektryczną należy odpowiednio dobrać moc turbiny wiatrowej oraz właściwy bank energii. Pamiętaj, że każda turbina wiatrowa posiada elementy ruchome, które do swojej bezawaryjnej pracy wymagają odpowiedniego serwisowania (wytyczne w dokumentacji technicznej wybranej turbiny). Ponieważ turbiny wiatrowe montowane są najczęściej na szczytach dachów lub na odpowiednio dobranych masztach, zastanów się czy ze względu na wysokość będziesz chciał samodzielnie dokonywać serwisowania turbin, czy zdecydujesz się korzystać z usług wyspecjalizowanego serwisu. Ponieważ ta decyzja może wiązać się z dodatkowymi kosztami eksploatacji warto podjąć ją przed zakupem turbin wiatrowych.
Zwracam uwagę, że turbina wiatrowa z magazynem energii może być dobrym uzupełnieniem istniejącej już instalacji fotowoltaicznej. W Polsce, wzmożony wiatr często wieje w okresie od jesieni do wiosny czyli w okresie gdy fotowoltaika ma zdecydowanie słabszy okres produkcji energii elektrycznej. Poza tym turbina wiatrowa produkuje prąd niezależnie od słońca (wiatr często wieje w nocy).
Ponieważ omówiliśmy już wszystkie dostępne dla większości gospodarstw domowych źródła zasilania rezerwowego na wypadek braku prądu (nie będę omawiał elektrowni wodnych lub pneumatycznych magazynów energii) czas na krótkie podsumowanie.
Brak prądu - podsumowanie przygotowań na wypadek blackoutu
Jak widzisz na przykładzie tego artykułu zabezpieczenie się na blackout, czyli długotrwały brak prądu nie jest takie tanie i takie proste jak mogłoby się wydawać. Nie ma jednego uniwersalnego rozwiązania, które sprawdzi się w każdej sytuacji. Z każdym rozwiązaniem wiążą się koszty i każde wymaga przemyślenia i przygotowania odpowiedniego scenariusza. Teraz, gdy znasz już temat może warto wrócić do podstaw i zastanowić się jakie urządzenia w Twoim przypadku tak naprawdę wymagają rezerwowego zasilania? Może warto tabelę z początku artykuły wypełnić od nowa?
W okresie zimowym na pewno należy pomyśleć o zapewnieniu ogrzewania (jeśli nie na poziomie komfort to przynajmniej w kilku pomieszczeniach na minimum, a w pozostałych na tyle, aby woda w rurach nie zamarzła i nie porozsadzała rur).
Pozostaje kwestia lodówki i żywności, która w przypadku długotrwałego braku prądu może ulec zepsuciu. Narażę się wielu osobom, ale uważam, że w tym wypadku warto do tematu podejść ekonomicznie. Zakładając, że w domu jest wypełniona po brzegi duża lodówka (wysokości około 2 m) i załadowana do pełna duża zamrażarka (wysokości około 2 m), to okazuje się, że wartość przetrzymywanej w nich zamrożonej żywności najczęściej szacowana jest na około 1 500 zł. W związku z tym podchodząc do tematu ekonomicznie w przypadku długotrwałego braku prądu czyli blackoutu bardziej opłaca się wyrzucić zepsutą żywność a w to miejsce kupić świeżą, niż budować awaryjne zasilanie pod całodobowe utrzymanie zasilania lodówki.
To Twoja decyzja i Twoje pieniądze. Może dla Ciebie liczy się komfort lub prestiż i sytuacja finansowa pozwala Ci na wykonanie i utrzymanie zasilania rezerwowego.
Bez względu na powód, jeśli chcesz zyskać niezależność energetyczną to w mojej ocenie najkorzystniejsze będzie wykonanie zasilania rezerwowego w oparciu o OZE (fotowoltaika i turbiny wiatrowe) z wykorzystaniem magazynów energii czyli akumulatorów. Takie rozwiązanie całkowicie uniezależnia Cię od paliwa a okres braku prądu czyli trwania blackoutu jest w tym momencie bez znaczenia. Dodatkowo w codziennym życiu gdy dostawy energii elektrycznej są "normalne" wykorzystanie instalacji OZE wraz z hybrydowym inwerterem i brakiem energii pozwoli Ci na zmniejszenie rachunków za energię elektryczną, ale co najważniejsze w kontekście potencjalnego braku prądu jesteś niezależny energetycznie. Co prawda okresowo wymagana jest wymiana akumulatorów (w przypadku dobrze dobranych i dobrych jakościowo akumulatorów taka wymiana jest mniej więcej co 10 lat), ale przecież te akumulatory są Twoja gwarancją rezerwowego zasilania na wypadek braku prądu. Prawie bym zapomniał, pozostaje jeszcze jedna kwestia do omówienia.
W jaki sposób zabezpieczyć instalacje zasilania rezerwowego?
Niezależnie od wybranego sposobu zasilania rezerwowego pamiętaj o konieczności zastosowania odpowiednio dobranych zabezpieczeń przeciwporażeniowych oraz przeciwprzepięciowych (kwestii konieczności stosowania dodatkowych zabezpieczeń nie poruszałem w tym artykule). W większości przypadków zabezpieczenia przeciążeniowe i zwarciowe są już zamontowane w agregacie, przetwornicy napięcia czy inwerterze instalacji fotowoltaicznej lub elektronice turbiny wiatrowej, jednak należy pamiętać, że zabezpieczenia te dobrane są odpowiednio dla zabezpieczenia źródła wytwarzającego prąd, natomiast nie są odpowiednio dobrane do zabezpieczenia podłączonych do danego źródła prądu urządzeń.
W instrukcji przetwornicy, którą posiadam znajduje się taki lakoniczny zapis:
Przetwornica napięcia z serii IPS-S wytwarza na wyjściu niebezpieczne napięcie (230 V), które może spowodować porażenie elektryczne lub pożar. Podczas użytkowania należy stosować wszystkie zasady bezpieczeństwa, jakie dotyczą urządzeń elektrycznych zasilanych napięciem 230V.
W ten sposób producent bez rozpisywania się przerzucił na użytkownika obowiązek stosowania wszystkich zabezpieczeń jakie normalnie są stosowane w instalacji elektrycznej a więc kompletnej ochrony przeciwprzepięciowej, ochrony przeciążeniowej i zwarciowej (wyłączniki nadprądowe), ochrony przeciwporażeniowej (wyrównanie potencjałów i wyłączniki różnicowoprądowe) oraz konieczność podłączenia rezerwowego źródła zasilania do systemu uziemienia (należy wiedzieć jak to wykonać bo możliwe są układy połączeń: TN; TT; IT).
W praktyce oznacza to, że jeśli rezerwowe zasilanie wpinasz z pominięciem zabezpieczeń jakie masz zainstalowane w rozdzielnicy elektrycznej musisz zastosować "przenośną" rozdzielnicę w której zamontowane są prawidłowo dobrane zabezpieczenia: ogranicznik przepięć, wyłącznik różnicowoprądowy i wyłącznik nadprądowy. Tego tematy nie będę rozwijał w tym artykule, ale (więcej w tym temacie znajdziesz w artykule zatytułowanym: Ile za elektryka, czyli za co płacisz elektrykowi?). Jeśli mimo wszystko zdarzy się wypadek, to warto abyś wiedział jak do tematu może odnieść się Twój ubezpieczyciel.
Czy posiadanie zasilania rezerwowego należy zgłaszać do ubezpieczyciela?
Niezależnie od wybranego przez Ciebie rozwiązania jedna kwestia pozostaje niezmienna. Chodzi o odpowiedzialność ubezpieczyciela Twojego domu lub mieszkania w przypadku gdy wystąpi jakieś zdarzenie związane z prądem elektrycznym (nawet jeśli nie zdecydujesz się na żadne opisane w tym artykule rozwiązanie warto zapoznać się z niżej omówionym zagadnieniem - ten temat dotyczy każdego z nas).
Ponieważ w tymczasowo wykonanej instalacji zasilającej występuje największe niebezpieczeństwo powstania wypadku, sugeruję zapoznać się z artykułem Instalacja elektryczna, a ubezpieczenie domu? w którym na przykładach omówiłem odpowiedzialność ubezpieczyciela oraz czekające na nas "kruczki" prawne.





















WW
6 stycznia 2022 o 22:23
Panie Piotrze – super artykuł, dziękuję! Jedno pytanie, jak wyglądałaby sytuacja z przetwornicą podłączoną bezpośrednio do akumulatora w samochodzie na włączonym silniku? Czy wówczas takie auto mogłoby np. przez kilkanaście godzin pełnić rolę agregatu?
Piotr Bibik
11 stycznia 2022 o 23:32
Nie ma jednoznacznej odpowiedzi na Pana pytanie. Konsultowałem zagadnienie z kilkoma osobami, które specjalizują się w naprawach alternatorów i największym wyzwaniem jest uzwojenie alternatora, ale po kolei. Musimy omówić alternator, regulator napięcia, zabezpieczenie nadprądowe, akumulator samochodowy, moc silnika samochodu, własne zapotrzebowanie samochodu na prąd.
W dużym skrócie.
Według eksperta od alternatorów, podłączenie przetwornicy napięcia i długotrwała praca na pełnym obciążeniu alternatora jest możliwa, ale w niektórych samochodach. Czym auto starsze tym bardziej do takiej pracy się nadaje. W nowoczesnych samochodach największym problemem są uzwojenia w alternatorze. Elektryk samochodowy pokazywał mi alternator jaki wyjął z kilkuletniego samochodu i nowy alternator kupiony jako oryginalna część zamienna. Deklarowane parametry niby te same, ale druty z jakich wykonane są uzwojenia różnią się diametralnie. W starym alternatorze drut uzwojenia był gruby. Chce się rzec kawał miedzi. W nowym alternatorze drut jest zdecydowanie cieńszy (to widać na oko). Elektryk samochodowy opowiadał przykłady z swojej pracy, gdzie ludzie po montażu do samochodu nowego alternatora (akumulator w aucie był głęboko rozładowany więc auto odpalali na kablach rozruchowych) potrafili jeszcze tego samego dnia powtórnie oddawać auto do naprawy bo nowy alternator nie wytrzymywał w dłuższym okresie czasu tak dużego obciążenia jakim było utrzymanie pracy samochodu i jednoczesne ładowanie akumulatora. W autach „starej produkcji” takie sytuacje się nie zdarzały.
Kolejna sprawa to napięcie jakie podaje regulator napięcia. Przykładem może być przetwornica napięcia, którą posiadam (opisana w artykule). Producent na przetwornicy dołożył karteczkę z ostrzeżeniem: Dopuszczalny zakres napięć wejściowych:
Nie wiem co się stanie gdy regulator napięcia sterowany przez komputer poda 17 V DC? Wolę tego u siebie nie próbować.
Podsumowując.
Według eksperta od alternatorów wszystko zależy od konkretnego zestawienia (samochód + przetwornica). Jeśli w samochodzie jest alternator „starej” solidnej konstrukcji oraz „standardowy” regulator napięcia to podłączona przetwornica napięcia powinna działać o ile spełniony jest warunek, że łączny pobór prądu (przez samochód w tym wiatraki chłodnicy i przetwornicę napięcia) jest mniejszy niż wydajność prądowa alternatora.
W przypadku nowoczesnych „odchudzonych” alternatorów ekspert obstawia szybkie zepsucie alternatora (będzie do wymiany). W zależności od wewnętrznej budowy przetwornicy, może, ale nie musi „przeżyć” napięcia ładowania powyżej 15 V.
Ekspert podpowiadał, że dla niektórych osób, które używają przetwornic napięcia montuje w samochodach dodatkowe alternatory „starej konstrukcji” dedykowane tylko przetwornicy napięcia (najczęściej w autach terenowych lub busach „budowlanych”).
Alojzy
20 lutego 2022 o 20:39
VW transporter 2,4 diesel z 1993 roku, T4, a w nim akumulator 780A. Kable rozruchowe 900A, 5 metrów, jako połączenie akumulatora (pracujacy silnik na jałowym biegu przy zwiększonych obrotach) z przetwornicą czysty sinus GC 12V 3000/6000W. Producent przetwornicy podaje moc znamionową 2550W. Tymczasem po podłączeniu szlifierki i następnie wiertarki o łącznej mocy 1750W jedno z urządzeń przestaje pracować, a na początku faluje z braku mocy. Podobnie po podłączeniu opalarki elektrycznej o mocy 2300W – pracuje na 1 biegu o niższej mocy i po przełączeniu na 2 bieg i zwiększeniu mocy przetwornica wyłącza się.
Przetestowałem w ten sposób trzy takie urządzenia od tego producenta i żadna nie osiągnęła mocy znamionowej 2550W. Max jaka była do osiągnięcia to okolice 1500W. Obciążenie nie zdławiło pracy silnika w aucie (VW T4 – wyłączone wszystkie odbiorniki w aucie). Wszystkie połączenia i kable nie dawały oznak „grzania się”.
Czy wina leży po stronie kabli rozruchowych – zbyt długie i mały przekrój? Czy może po stronie alternatora i akumulatora w aucie? Czy po samej przetwornicy?
Jak dobrać przetwornicę i akcesoria o jak najwyższej mocy do takiego auta dostawczego, by na pracującym silniku można było korzystać z różnych elektronarzędzi na 230V o jak najwyższej mocy?
Piotr Bibik
22 lutego 2022 o 22:58
Pana pytanie choć może wydawać się proste jest dość złożone, ponieważ nie da się udzielić wyczerpującej odpowiedzi nie znając dokładnych parametrów technicznych.
Zacznę od przetwornicy. Nie znam tego modelu i nie potrafię udzielić Panu bliższych informacji na jego temat. Proponuję napisać maila bezpośrednio do producenta z zapytaniem jaką maksymalną długotrwałą mocą może Pan obciążać tą przetwornicę?
Kable rozruchowe 900 A o długości pięciu metrów…
Realnie nic o nich nie wiemy.
Czy korzystał Pan z kalkulatora, który jest do pobrania z artykułu?
Zakładając maksymalną moc 2 500 W, napięcie 12 V i procentowy spadek napięcia na poziomie 2 % to przy długości pięciu metrów powinien Pan użyć przewodów o minimalnym przekroju 150 mm2. Przykładowo Helukabel dla przewodu spawalniczego nr. kat. 31030 o przekroju żyły 150 mm2 podaje średnicę zewnętrzną izolacji pomiędzy 21,2 – 26,4 mm (my powinniśmy skupić się na średnicy żyły ale domyślam się że nie ma do niej dostępu) i waga jednego 5 metrowego przewodu byłaby około 8,1 kg (komplet kabli 150 mm2 o długości 5 m bez klem ważyłby ponad 16 kg – to tak orientacyjnie aby mógł Pan złapać punkt odniesienia do kabli które Pan obecnie posiada). Nie spotkałem się z „standardowymi” kablami rozruchowymi o takim przekroju żyły i przypuszczam, że Pana kable mają zdecydowanie mniejszy przekrój co powoduje znaczne spadki napięcia.
Najłatwiej sprawdzić to posługując się dobrej jakości woltomierzem. W tym celu należy szybko dokonać dwa pomiary. Należy włączyć przetwornicę i obciążyć ją jakimś dużym odbiornikiem np. elektryczny czajnik (przeważnie ma około 2 000 W), następnie szybko zmierzyć napięcie na akumulatorze i na zaciskach przetwornicy.
Piszę o dobrej jakości woltomierzu ponieważ nie są ważne cyfry jakie wskazuje, ale zapisy z jego dokumentacji dotyczące błędu pomiarowego (ile cyfr). Może okazać się, że woltomierz wskazuje kilka cyfr po przecinku ale jego dokładność jest tylko jedna cyfra po przecinku a reszta to przypadkowe cyfry. Aby było łatwiej proszę przeanalizować poniższą tabelę.
Następny temat dotyczy akumulatora w samochodzie.
Pisze Pan o prądzie 780 A, ale domyślam się, że chodzi o prąd rozruchowy (chwilowy) a w przetwornicy rozmawiamy o prądzie długotrwałym. Obciążając akumulator samochodowy elektronarzędziami o mocy 2500 W, pobieramy z niego przez cały czas obciążenia prąd o wartości około 208 A. Akumulatory samochodowe mogą nie być przystosowane do długotrwałego oddawania prądu o takiej wartości. Proponuję wrócić do artykułu do rozdziału: Jaki akumulator należy dobrać do przetwornicy napięcia?
Podsumowując Pana przypadek skoncentrowałbym się w pierwszej kolejności na przewodach zasilających przetwornice napięcia. Sugeruję skontaktować się z producentem akumulatora i ustalić jaki maksymalny długotrwały prąd może Pan z niego pobierać, oraz z producentem przetwornicy i ustalić jaką maksymalną mocą można długotrwale obciążać tą przetwornicę napięcia.
xelus
21 lutego 2022 o 14:35
W obliczeniach dot. mocy pozornej wkradł się błąd. Grzałka o mocy 150 W i współczynniku cos f = 1 będzie przy zasilaniu 230 V pobierać prąd o natężeniu: I = P / (U * cos f) czyli 0,65 A (autor podaje 0,7 A). Natomiast dla silnika o mocy 150 W będzie to 0,81 A, a nie jak podał autor 0,5 A. Mając napięcie oraz obliczenie natężenie prądu można obliczyć moc pozorną: S = U * I, która wynosi dla żarówki 150 VA i 187,5 VA dla silnika.
Z silnikiem jest jeszcze taka sprawa, że przyjęło się podawać moc mechaniczną na wale, a nie moc pobieraną przez silnik z sieci, stąd należy jeszcze uwzględnić sprawność silnika. Oczywiście jeszcze pozostaje kwestia rozruchu silnika.
Piotr Bibik
22 lutego 2022 o 18:35
xelus dziękuję za czytanie ze zrozumieniem i wyłapanie oraz wskazanie błędu. Poprawione 🙂
Jak wspominałem artykuł jest napisany na pewnym poziomie ogólności i skierowany do grupy odbiorców indywidualnych (budownictwo mieszkaniowe małe firmy), więc nie zagłębiałem się w szczegóły techniczne. Poruszyłem jedynie kwestie rozruchu silnika (odesłanie do artykułu w którym to zagadnienie opisałem) i nie wdawałem się w zagadnienia związane z sprawnością silników.
Tomek
21 lutego 2022 o 14:40
Bardzo przystępnie i wyczerpująco potraktowany temat. Brakuje mi tylko informacji o jeszcze jednym źródle energii jakim może być auto elektryczne. Wprawdzie aut elektrycznych nie ma dużo, a tych ze złączem dwukierunkowym jest znikoma liczba, ale informacja o takiej możliwości może być przydatna przy planowaniu zakupu auta.
htt ps://ww w.cleanenergyreviews.info/blog/bidirectional-ev-charging-v2g-v2h-v2l
Piotr Bibik
22 lutego 2022 o 18:44
Brakuje przynajmniej dwóch źródeł prądu, których celowo nie zamieściłem ponieważ korzystać z nich może tylko niewielka grupa odbiorców.
Jedno to wspomniane samochody elektryczne, a drugie to elektrownie wodne. Osoby które mieszkają nad rzekami mogą ubiegać się o odpowiednie zezwolenia i wybudować sobie niewielką elektrownię wodną (lepiej napisać turbinę). Jest to rozwiązanie interesujące, ponieważ woda dostępna jest niezależnie od pory roku. Taka inwestycja wymaga szczególnie dużo zezwoleń, ale ma stosunkowo szybki zwrot ponieważ produkcja energii jest przez całą dobę na w miarę porównywalnym poziomie.
Idąc dalej można jeszcze rozmawiać o zagadnieniu magazynowania energii w zbiornikach ze sprężonym powietrzem lub w niektórych warunkach można zrobić niewielką „elektrownie szczytowo-pompową”. Nie pisałem o tych rozwiązaniach ponieważ są dość trudne do wykonania dla przeciętnego mieszkańca domku jednorodzinnego i realnie z takich pomysłów może korzystać bardzo niewielka grupa ludzi którzy mają specjalistyczną wiedzę i odpowiednio usytuowaną działkę o odpowiedniej wielkości.
Wojtek
21 lutego 2022 o 14:51
Cześć,
czy w schemacie dla instalacji OFF-GRID podłączonej do instalacji elektrycznej za pośrednictwem ręcznego lub automatycznego przełącznika zasilania rzeczywiście konieczny jest licznik dwukierunkowy, czy to błąd?
Ciekawy jestem jeszcze Pańskiej opinii na temat sieci z mikroinwerterami. Fakt faktem nie magazynują energii, ale są ciekawą alternatywą w miejscach, gdzie nie ma szans na dużą instalację.
Piotr Bibik
22 lutego 2022 o 21:00
Dziękuję za szczegółową analizę artykułu. W opisie rysunku wkradł się błąd i został już poprawiony. Oczywiście w przypadku instalacji off-grid (nie połączonej z siecią) nie ma potrzeby montowania licznika dwukierunkowego. Wystarczy jednokierunkowy zliczający energię pobraną z sieci energetycznej.
Odnośnie mikroinwerterów.
Jak w każdym rozwiązaniu nie ma jednej właściwej z góry określonej odpowiedzi. Swoje zdanie dostosowuję do konkretnej sytuacji. W jednej mikroinwertery mogą być najlepszym możliwym rozwiązaniem, a zmieniając jeden parametr (np. niezawodność) może okazać się, że inne urządzenia będą lepiej spełniały swoją rolę. Zawsze staram się powtarzać, że nie zaczynajmy od rozwiązania tylko od potrzeb użytkowników i warunków jakie mamy w miejscu wykonania instalacji. Dopiero na tej podstawie można dobierać odpowiednie rozwiązania techniczne i kalkulować koszty.
Dla uniknięcia niedomówień chciałbym wyjaśnić dlaczego jako przykład podałem niezawodność.
Wykonując instalację fotowoltaiczną opartą o jeden inwerter ryzykujemy tym, że w przypadku uszkodzenia inwertera (instalacja z jednostką centralną) tracimy zdolności produkcyjne całej instalacji. Korzyścią takiego rozwiązania jest stosowanie tylko jednego kompletu zabezpieczeń (obniżamy koszty). Decydując się na rozwiązania oparte o mikroinwertety (instalacja rozproszona) zyskujemy pewien poziom bezpieczeństwa energetycznego ponieważ w przypadku awarii mikroinwertera tracimy tylko niewielką część produkowanej przez całość instalacji energii (pozostałe mikroinwertery nadal pracują), ale zmuszeni jesteśmy do każdego mikroinwertera dołożyć odpowiednio dobrane zabezpieczenia, co w globalnym podsumowaniu najprawdopodobniej znacznie zwiększy koszty instalacji w porównaniu z rozwiązaniem opartym o jeden inwerter.
To oczywiście tylko przykład, bo tak jak pisałem rozwiązanie należy dobrać do potrzeb użytkownika i wymagań jakie stawia obiekt na którym dane rozwiązanie ma być zastosowane.
Tomasz
22 lutego 2022 o 00:39
Jakaś wariacja pomysłu z przetwornicą i akumulatorem ale pod kątem pracy jako UPS dla domu? Tj. automatyczne doładowywanie akumulatora/ów przy powrocie zasilania z sieci zamiast OZE?
Piotr Bibik
22 lutego 2022 o 19:12
W zależności od rodzaju (technologii wykonania) i pojemności akumulatora / akumulatorów można pomyśleć o odpowiednio dobranym systemie ładowania i automatycznego przełączania zasilania, ale to już są indywidualne rozwiązania dobierane pod konkretne potrzeby. Zrobione tego pomysłu z odpowiednimi zabezpieczeniami zgodnie z obowiązującymi przepisami może być droższe niż zakup gotowego odpowiednio dobranego UPS-a, który dodatkowo posiada gwarancję. Odradzam próby magazynowania energii według zasady CCC ponieważ może dojść do porażenia prądem, pożaru lub eksplozji i kłopotów z uzyskaniem odszkodowania.
Zastanawiając się nad wyceną takiego rozwiązania, dość kluczową kwestią będzie odpowiedź na pytanie jak szybkie powinno być samo przełączenie? W UPS-ach przełączenie jest praktycznie niezauważalne dla odbiorników, ale jeśli przełączenie można zrealizować na urządzeniach typu APM-10 lub APM-20 to trzeba poważnie się zastanowić dobrać odpowiednie zabezpieczenia, moduły ładowania i można sprawdzić jak by takie rozwiązanie wyglądało cenowo w stosunku do gotowego UPS-a. Analizując koszty należy pamiętać, że niektóre akumulatory w procesie ładowania wytwarzają wybuchowe gazy co wiąże się z wyznaczeniem strefy EX i koniecznością użycia specjalnych łączników, lamp i innych elementów w wersji przeciwwybuchowej.
Tylko przy tego typu założeniu (ładowanie akumulatorów po powrocie zasilania) kłopot polega na tym, że po wyczerpaniu się energii z akumulatorów wracamy do punktu wyjścia, czyli braku prądu.
Janek 45324
21 kwietnia 2022 o 17:21
Przeczytałem ten oraz kilka innych artykułów na stronie. I strasznie się zmęczyłem. Generalnie nic się łatwo nie da. Trzeba sprawdzić multum rzeczy oraz pamiętać o setce różnych innych parametrów. Na żadne pytanie nie da się łatwo odpowiedzieć tylko trzeba znać wszystkie możliwe parametry techniczne. Po przeczytaniu tych artykułów nie znalazłem żadnej, ale to żadnej odpowiedzi a tylko milion innych pytań i rzeczy których muszę się nauczyć.
Tomasz Brzostowski
24 kwietnia 2022 o 22:02
Janek 45324, ja również czytam regularnie artykuły zamieszczane przez Piotra, ale moje wrażenia są całkowicie odmienne od Twoich. Nawet w tematach, w których uważam że mam wiedzę Piotr Bibik potrafi pokazać że moja wiedza nie jest kompletna. Potrafi w umiejętny i przystępny sposób pokazać na co należy zwrócić uwagę zajmując się konkretnym zagadnieniem. Najczęściej są to bardzo ważne szczegóły, o których zapominamy, a mają one duży wpływ na konkretne rozwiązania i pominięcie ich powoduje frustracje, a nawet poważne problemy. Lektura zamieszczanych tu artykułów i poradników już nie raz uchroniła mnie od popełnienia błędów i związanych z tym kłopotów. Uważam że fenomenem tych publikacji jest to, że uświadamiają nam że nie wiemy wszystkiego, że drobny szczegół, parametr czy też nieznajomość przepisów prawa może doprowadzić nas w najlepszym wypadku do niepotrzebnego stresu i niepotrzebnych kosztów, a w tym gorszym nawet do sądu…
Sławek L.
24 kwietnia 2022 o 20:42
Bardzo dziękuję za tak otarte wyznanie. Dla mnie, jako człowieka zajmującego się techniką, elektryką i elektroniką zawodowo od ponad 30 lat jest to dowód na to, że każdy powinien zajmować się tym, co potrafi najlepiej, co umie i na czym najlepiej się zna. Po komentarzu jaki przeczytałem od Janka 45324 przypuszczam, że to nie może być ktoś komu zagadnienia o których pisze Piotr są mu w miarę dobrze znane. Ja tez przyznam się do tego, że sporo rzeczy mnie zainteresowało, sporo się dowiedziałem choć posiadam jakieś jednak doświadczenie, wciąż czegoś nowego się uczę i dowiaduję… Dobrze że są tacy pasjonaci jak Piotr, którzy swoją wiedzą i pozyskanymi informacjami chcą się podzielić. Wiedzy nigdy dość, jeśli chce się być na odpowiednim poziomie technicznym. Niestety mam przykrą wiadomość dla tych którzy chcą posiąść lub myślą że posiądą wiedzę po przeczytaniu kilku blogów, artykułów. Jeśli nie ma się ugruntowanych podstaw z wiedzy na temat jakichś zagadnień, to oczywistym jest że będą się rodziły pytania a te zrodzą następne. W każdej dziedzinie jest tak samo. Pilotowi MIGa-29 łatwiej jest przesiąść się na F-16 po przeszkoleniu niż temu co latał szybowcem. Myślę że na skróty nic się nieraz nie da zrobić i zrozumieć. Przez niektóre etapy po prostu trzeba przejść by móc wskoczyć na inny lewel.
Katarzyna
28 lipca 2022 o 08:44
Wspanialy artykul, teraz wiem jak się przygotować i nie panikowac bo temat został szeroko opisany. Dziękuję
Marta
13 września 2022 o 14:09
Widzę, że można sporo zrobić. Ja to mam tylko powerbanki w domu dwa. Jeden z panelem słonecznym z LAmaxa, to się suepr przydawało na wyjazdach. Dziękuję za rozpisanie tematu!
Technik
3 grudnia 2022 o 02:21
Sa koncowki do kabli do ktorych nie trzeba zaciskarki – one maja zyle przewodu dociskana srubami, sruby te sa podtoczone tak ze przy dokreceniu zakozonym przez producenta momentem urywa sie z sruby leb. Te koncowki sa drogie, jak jest to jeden przewod do zarobienia to jeszcze ujdziem jak wiecej to lepiej kupic praske, za taka z nizszej polki od 10 do 150 mm2 zaplaci sie ok 150 zl. Do okazjonalnych prac taka wystarczy.
xqz
15 lipca 2024 o 13:41
W jaki sposób należy dokonać przyłączenia agregatu prądotwórcze go 1f w układzie tncs? Nie można rozłączyć PEN. Nawet jeśli po podziale pen na pe i N, rozłączymy samo N to i tak jest połączenie ponieważ w agregacie trzeba zmostkowac PE i N żeby wyjść z sieci IT. Zrobić wyspę TT i wylącznik rcd 300mA?
Piotr Bibik
13 września 2024 o 20:08
Podłączenie agregatu prądotwórczego do instalacji elektrycznej należy wykonać zgodnie z zaleceniami producenta zawartymi w instrukcji obsługi i obowiązującymi, aktualnymi zasadami wiedzy technicznej. W Polsce większość instalacji elektrycznych pracuje w układzie TN, a agregaty mają wyprowadzony specjalny zacisk do którego należy podłączyć uziemienie (system wyrównania potencjałów). Jeśli agregat prądotwórczy pracuje w terenie obowiązkiem osoby, która go uruchamia jest wykonać tymczasowe uziemienie i nie można zapominać o obowiązkowym wykonaniu pomiaru rezystancji tak wykonanego uziemienia ponieważ tylko pomiar daje nam odpowiedź na pytanie czy parametry wykonanego uziemienia sią na odpowiednim poziomie który zapewnia właściwy poziom bezpieczeństwa. Więcej w tym temacie opisałem w artykule:
Userr IT
6 lutego 2025 o 11:43
W artykule widzę jeden krytyczny błąd, a wynika on jak sądzę z nieznajomości budowy urządzenia. Falownik typowy 100% On-Grid nie jest samodzielnym źródłem napięcia/prądu więc po wyłączeniu/awarii sieci (potocznie blackout) falownik ów po prostu się wyłącza. Nie ma tu żadnych zabezpieczeń, ten falownik po prostu nie ma technicznych możliwości działania w takim wypadku.
Piotr Bibik
6 lutego 2025 o 18:36
Zgadzam się w 100% i w artykule nie ma błędu. Proszę pamiętać, że artykuł mimo swojej obszerności dedykowany jest użytkownikom, którzy na zagadnieniach technicznych nie muszą się dokładnie znać. To nie jest artykuł na temat wewnętrznej budowy i dokładnej zasady działania falowników np. ON-GRID.
Na potrzeby artykułu możemy przyjąć, a nawet musimy przyjąć pewne uproszczenia. Może wyjaśnię to zagadnienie bardziej opisowo.
Dlaczego przy braku napięcia sieciowego (mimo, że jest odpowiednie nasłonecznienie paneli PV) falownik ON-GRID nie wytwarza energii? Właśnie dlatego, że w jego wewnętrznej budowie (konstrukcji) są zabudowane i zaprogramowane odpowiednie „zabezpieczenia”, które blokują możliwość produkcji energii do czasu, aż odpowiednia wartość napięcia (i to o odpowiednich parametrach) nie pojawi się od strony zasilania. To właśnie jest wewnętrzne „zabezpieczenie” falownika przed tym, aby w przypadku braku zasilania od strony „energetyki” nie wprowadzał zwrotnie napięcia do sieci. I ten artykuł nie jest miejscem na to, aby dokładnie wyjaśniać jak to „zabezpieczenie” działa.
Wystarczy wniosek – mimo, że jest słońce, gdy nie ma „prądu” z sieci falownik ON-GRID nie produkuje energii.
zecia
6 maja 2025 o 12:17
Wybór agregatu prądotwórczego zależy od potrzeb gospodarstwa domowego. Oblicz zapotrzebowanie na moc, sumując waty kluczowych urządzeń (np. lodówka 200 W, kocioł gazowy 150 W). Agregaty jednofazowe (230 V) wystarczą do większości domów, ale większe posesje mogą wymagać modeli trójfazowych (400 V). Zwróć uwagę na poziom hałasu – agregaty z tłumikiem (poniżej 70 dB) są lepsze w gęstej zabudowie. Ważna jest też mobilność: mniejsze modele są łatwe do przenoszenia, ale cięższe zapewniają stabilność. Przykładowo, agregat benzynowy Honda EU22i jest cichy i wydajny, choć drogi. Przed zakupem sprawdź opinie i wybierz urządzenie z funkcją stabilizacji napięcia, aby chronić wrażliwą elektronikę. https: //www.nowin.pl/ 2025/05/05/jak-przygotowac-sie-na-awarie-pradu-blackout-miej-zawsze-gotowy-agregat-pradotworczy/