Czy pojedynczy uziom poziomy wykonany z bednarki zakończonej uziomem pionowym zagłębionym około 3 metrów wystarczy do uzyskania prawidłowej wartości rezystancji uziemienia, przy założeniu, że przeciętna rezystywność gruntu waha się w granicach 50 Ω/m?
Pytanie
Bardzo proszę o udzielenie informacji jaka powinna być prawidłowa wartość rezystancji uziemienia tradycyjnego /nie posiadam uziemienia otokowego i fundamentowego/ przeznaczonego jedynie do połączenia z główną szyną wyrównawczą w budynku jednorodzinnym przy założeniu, że w RGB będą zastosowane ograniczniki przepięć klasy T 1+2. I czy na podstawie posiadanej przez Pana wiedzy przy założeniu, że przeciętna rezystywność gruntu waha się w granicach 50 omów/m pojedynczy uziom poziomy wykonany z bednarki zakończonej uziomem pionowym zagłębionym około 3 metrów wystarczy do uzyskania prawidłowej wartości rezystancji uziemienia.Bardzo proszę o udzielenie odpowiedzi za którą bardzo dziękuję.
W przedmiotowej sprawie przeczytałem wiele publikacji, które jednak wskazuję różne wartości, są również przedmiotem burzliwych niejednoznacznych rozważań i odpowiedzi na forach internetowych.
Dariusz
Odpowiedź
Nie wspomniał Pan nic o długości ułożonej bednarki, oraz o głębokości na jakiej ta bednarka została ułożona, a może to mieć wpływ na rezystancję wykonanego uziemienia (wynik pomiaru całego uziemienia może być niższy niż wartość pomiaru samego uziomu pionowego).
W świetle obowiązujących przepisów, rezystancja uziemienia powinna być jak najniższa i nie może być wyższa niż 10 Ohm. Wyjątkiem, w którym rezystancja może być wyższa od 10 Ohm są grunty np. skaliste na których uzyskanie takiej wartości jest bardzo trudne, lecz wówczas należy obniżyć do wartości bezpiecznych napięcia krokowe i dotykowe, które mogą wystąpić w układzie.
Należy zwrócić uwagę, aby uzyskana wartość rezystancji uziemienia była w miarę stabilna przez cały rok czyli aby pory roku i występujące w nich warunki ekstremalne np. susze lub mrozy, nie maiły znaczącego wpływu na wartość rezystancji. Przyjmuje się, że dla uziomów pionowych (szpilek) minimalna głębokość pogrążania wynosi 3 m, ale jeśli poprzez dołożenie kolejnych części pogrąży Pan uziom głębiej uzyskana wartość rezystancji będzie bardziej stabilna i niezmienna w stosunku do warunków panujących na powierzchni gruntu.
Zachęcam do zapoznania się z poradnikiem: Jak zrobić uziemienie?
Ograniczniki przepięć traktuje się jako wewnętrzną część LPS (Lightning Protection System), więc w przypadku uziemień mają tu odniesienie zapisy z normy: PN-EN 62305-1:2011 i przyjąłbym maksymalną wartość rezystancji uziemienia jako 10 Ω.
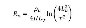
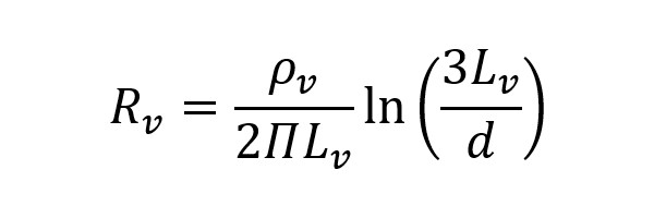
Pytał Pan o obliczenia rezystancji uziemienia.
Proszę skorzystać z poniższych wzorów, lecz należy pamiętać, że nie ma jednego właściwego wzoru, a jak Pan widzi na przedstawionym przykładzie w zależności od wykorzystanego wzoru do obliczania rezystancji uziemienia otrzyma Pan zbliżone, ale różniące się wyniki.
Do obliczeń przyjąłem średnicę pręta 16 mm (pozostałe dane takie jak Pan podał) i wyniki w zależności od użytego wzoru wyszły mi w przedziale od 14,00 do 17,56 Ω.
W celu ułatwienia obliczeń zachęcam do pobrania kalkulatora uwzględniającego poniższe wzory. Kalkulator jest do pobrania z poniższego linku w formie pliku Excel.
Kalkulator rezystancja uziemienia pionowego >>Należy pamiętać, że są to tylko teoretyczne wyliczenia rezystancji uziemienia, które służą do oszacowania ilości potrzebnego materiału i wyceny robocizny. Zawsze po wykonaniu uziemienia należy potwierdzić pomiarami uzyskaną rezystancję. Do pomiarów można użyć miernika MRU-200, który mogę zarekomendować ze względu na bardzo małe błędy pomiarowe oraz wszechstronność dostępnych w nim metod pomiarowych.
| Wzór | Źródło | ![]() |
![]() |
PN-HD 60364-5-54 | |
![]() |
Konstanty Wołkowiński | |
![]() |
PN-EN 50522, PN-EN 50341-1 | |
![]() |
Henryk Markiewicz | |
![]() |
BS 7430:2015, IEEE-80-2013 | |
![]() |
IEEE-142-2007 | |
![]() |
MIL-HDBK-419A | |
![]() |
||
Dla ułatwienia podaję przybliżone wartości rezystywności różnych gruntów. Poniższe dane są orientacyjne i mogą się różnić w zależności od źródła.
| Rodzaj gruntu | Rezystywność gruntu |
| Humus | od 10 do 150 Ωm |
| Glina | od 50 do 200 Ωm |
| Piasek gliniasty | od 50 do 500 Ωm |
| Piasek krzemionkowy | od 200 do 3 000 Ωm |
| Grunt kamienisty pokryty trawnikiem | od 300 do 500 Ωm |
| Grunt kamienisty nagi | od 1 500 do 3 000 Ωm |
| Wapień | od 100 do 5 000 Ωm |






![Wzór na rezystancję uziemienia pionowego R_v=ρ_v/(2ΠL_v ) [ln((8L_v)/d)-1]](https://www.napiecie.salama.pl/wp-content/uploads/2020/08/Wzór-na-rezystywność-gruntu-BS-7430-2015-IEEE-80-2013-300x100.jpg)
![Wzór na rezystancję uziemienia pionowego R_v=ρ_v/(2ΠL_v ) [ln((4L_v)/r)-1]](https://www.napiecie.salama.pl/wp-content/uploads/2020/08/Wzór-na-rezystywność-gruntu-IEEE-142-2007-300x100.jpg)

